Keilriemen-Festigkeitskontrolle

Um die Anzahl der erforderlichen Riemen zu bestimmen oder eine Festigkeitskontrolle des Riemengetriebes durchzuführen, wird in der Anwendung die Riemennennleistung mit der zu übertragenden Leistung verglichen. Zur Ermittlung der Riemennennleistung wird die Grundnennleistung des Riemens herangezogen und mit spezifischen Koeffizienten korrigiert, die sich aus dem jeweiligen Riemengetriebelayout ableiten.

Grundnennleistung des Riemens P BR

Die Grundnennleistung eines Riemens ergibt sich aus Formeln, die in der zugehörigen XML-Datentabelle definiert sind, die im Ordner Design Data gespeichert ist. Jeder Riemen, der im Keilriemen-Generator bereitgestellt wird, wird durch eine spezielle XML-Datei beschrieben, die Informationen zu allen für einen Riemen verfügbaren Größen sowie zu den geforderten mechanischen Eigenschaften enthält. Die verwendeten Grundleistungsformeln und -faktoren wurden Normempfehlungen entnommen, die von den tatsächlichen Herstellerdaten abweichen können. Sie können die Grundnennleistung eines Riemens anpassen und aktuelle Daten aus Katalogen von Riemenherstellern bereitstellen. Normalerweise ist die vorgabegemäß empfohlene Nennleistung konservativer, sodass Spielraum für Änderungen bei Riemenherstellern besteht; das Riemengetriebe wird damit jedoch unter Umständen überdimensioniert.

Allgemein ist die Grundnennleistung des Riemens eine Funktion von Geschwindigkeit, Flankendurchmesser und Drehzahlverhältnis der kleinsten Riemenscheibe (antreibende oder angetriebene Riemenscheibe).

P RB = F(n j , D Pj , i j )

Anmerkung: Der Index j steht für die kleinste antreibende oder angetriebene Riemenscheibe im Riemengetriebe.

Nennleistung des Riemens P R

P R = P RB c 1 c 3 c 4 c 5

Resultierender Gebrauchsdauerkoeffizient

Die Festigkeitskontrolle schlägt fehl, wenn für den berechneten Gebrauchsdauerkoeffizient Folgendes gilt: C PR < C p .

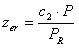
Anzahl der erforderlichen Riemen

Prüfung auf Überbeanspruchung

Die maximal zulässige Spannung im Riemen wird wie folgt bestimmt:

Die Festigkeitskontrolle schlägt fehl, wenn F max < F t max oder F max < F t gilt.

Prüfung auf zulässige Riemengeschwindigkeit und Biegefrequenz

Ist die Biegefrequenz des Riemens f b > f max , kann es zu geringerer Effizienz und zu vorzeitigen Riemenschäden kommen. Es wird eine entsprechende Warnmeldung angezeigt.

Ist die Riemengeschwindigkeit v > v max , erscheint die Fehlerwarnung, da der Riemen nicht für diese Geschwindigkeit ausgelegt ist.

Bedeutung der verwendeten Variablen:

f max

Maximale Riemenbiegefrequenz [Hz]

f b

Riemenbiegefrequenz für das jeweilige Riemengetriebe [Hz]

n

Geschwindigkeit der jeweiligen Riemenscheibe [U/min]

D P

Nenndurchmesser und Außendurchmesser für flache Riemenscheibe [m]

i

Übertragungsverhältnis (Geschwindigkeitsverhältnis) der jeweiligen Riemenscheibe [-]

c 1

Korrekturkoeffizient des Eingriffsbogens [-]

c 2

Gebrauchsdauerkoeffizient [-]

c 3

Koeffizient für Riemenlänge [-]

c 4

Korrekturkoeffizient der Anzahl der Riemen [-]

c 5

Korrekturkoeffizient der Anzahl der Riemenscheiben [-]

Z

Anzahl der Riemen [-]

P R

Riemennennleistung für das jeweilige Getriebelayout [W]

P

Zu übertragende Leistung [W]

v

Riemengeschwindigkeit [m/s]

v max

Maximal zulässige Riemengeschwindigkeit [m/s]

Anmerkung: Der Index j steht für die kleinste antreibende oder angetriebene Riemenscheibe im Riemengetriebe.

Grundlegende geometrische Berechnung