Klicken Sie unter
mit der rechten Maustaste auf
.
Es gibt zwei zentrale Optionen für Schalenelemente: Standard und Schicht.
Standard-Schalen
- Dicke (t): Eine Dicke für Schalenelemente, die gleichmäßig auf beide Seiten der Oberfläche verteilt wird.
- NSM: Eine nichtstrukturelle Masse für die Schalenelemente wird in den Berechnungen verwendet.
- Definition des Koordinatensystems für das Material eines vierseitigen Schalenelements:
- Geometrie und Koordinatensystem eines vierseitigen Schalenelements:
- Kräfte in vierseitigen Schalenelementen:
- Momente in vierseitigen Schalenelementen:
- Spannungen in vierseitigen Schalenelementen:
- Definition des Koordinatensystems für das Material von dreieckigen Schalenelementen:
- Elementgeometrie und Koordinatensysteme für dreieckige Schalenelemente:
- Erweiterte Optionen: Hier können Sie die folgenden zusätzlichen Eigenschaften für Standard-Schalen definieren.

- Spannungswiederherstellung: Abstände zwischen den oberen und unteren Fasern für die Spannungsberechnung festlegen. Dabei wird die Rechte-Hand-Regel verwendet. Die Reihenfolge, in der die Rasterpunkte im Verbindungseintrag aufgelistet sind, bestimmt die positive Richtung.
- Mittelflächen-Versatzabstand: Versatzabstand von der Oberfläche der Rasterpunkte zur Referenzebene der Elemente festlegen. Kann sichtbar sein, wenn die Option zur Anzeige des Querschnitts aktiviert ist.
- Verwenden Sie Layerdehnung Elementtyp: Mit dieser Option können Sie das reguläre Schalenelement in ein Ebenendehnungselement ändern. Wenn diese Option aktiviert ist, sind die Biegungs- und Membraneigenschaften (wie das Verhältnis von Querspannung und Membrandicke) sowie die entsprechenden Materialeigenschaften deaktiviert, da sie in diesem Fall nicht anwendbar sind.
- Bohrenden-DOF einschließen (CQUADR/CTRIAR): Wenn diese Option NICHT aktiviert ist, unterstützen die Schalenelemente fünf Freiheitsgrade (DOF), drei Verschiebungen und Drehungen um zwei Achsen in der Ebene (Biegeverzerrung). Der Freiheitsgrad für Drehungen um die normale Achse (Bohrachse) wird nicht direkt unterstützt. Es ist jedoch einige Steifigkeit vorhanden (wie vom Parameter K6ROT geregelt).
Aktivieren Sie die Option Bohrenden-DOF einschließen (CQUADR/CTRIAR), wenn Sie normale Knotendrehungen direkt berücksichtigen oder Momente über die Achse senkrecht zur Ebene des Elements übertragen möchten. Normale Knotenmomente führen zu Verschiebungen von Eck- und Mittelknoten in der Ebene. Der Effekt ist in der Regel präziser, wenn Sie Bohrenden-DOF einschließen. Diese Option sollte angegeben werden, wenn
- gekrümmte Schalen modelliert werden
- Träger-, Stangen- oder Rohrelemente mit den Schalen verbunden sind
- Steife Elemente werden mit den Schalen verwendet und mit allen sechs Freiheitsgraden abhängig gemacht
Sie sollten die folgenden Richtlinien einhalten, wenn Sie die Option Bohrenden-DOF einschließen (CQUADR/CTRIAR) verwenden:
- Für mindestens einen Rasterpunkt im Modell muss der Bohrenden-Freiheitsgrad beschränkt sein, was bei den Biegungs-Freiheitsgraden nicht der Fall ist. Der Benutzer muss den Bohrenden-Freiheitsgrad beim Anwenden von Randbedingungen berücksichtigen (d. h. wenn Sie eine Kante gerade bleiben soll, müssen Sie den Bohrenden-Freiheitsgrad beschränken). Das gilt auch für Kantenbelastungen.
- Beschränken Sie den Bohrenden-Freiheitsgrad nicht zu stark (d. h. beschränken Sie nicht alle Bohrenden-Freiheitsgrade im Modell).
Schichtschalen

- Mit der Option Schicht können Sie eine Verbundschicht-Eigenschaft definieren. Klicken Sie auf die Schaltfläche Neue Schicht. Das Dialogfeld Schicht wird geöffnet.
- Unter Lagenoptionen haben Sie folgende Möglichkeiten:
- Hinzufügen: Hiermit können Sie die Lage hinzufügen.
- Material: Hiermit definieren Sie ein neues Material.
- Globale Lage: Hiermit definieren Sie die globale Lage, wie in der folgenden Abbildung gezeigt.
- Nach oben: Hiermit verschieben Sie die ausgewählte Lage einen Schritt nach oben.
- Nach unten: Hiermit verschieben Sie die ausgewählte Lage einen Schritt nach unten.
- Sym: Hiermit erstellen Sie die Symmetrie der ausgewählten Lage(n).
- Anti-Sym: Hiermit erstellen Sie die Anti-Symmetrie der ausgewählten Lage(n).
- Rückgängig: Hiermit machen Sie den letzten Vorgang rückgängig.
- Wiederherstellen: Hiermit stellen Sie den letzten Vorgang wieder her.
- Löschen: Hiermit löschen Sie die ausgewählte(n) Lage(n).
- Ausschneiden: Hiermit schneiden Sie die ausgewählte(n) Lage(n) aus.
- Kopieren: Hiermit kopieren Sie die ausgewählte(n) Lage(n).
- Einfügen: Hiermit fügen Sie die Lage(n) ein, die Sie zuvor ausgeschnitten oder kopiert haben.
- Importieren: Hiermit können Sie die Lagendetails im CSV-Format importieren.
- Exportieren: Hiermit können Sie die Lagendetails im CSV-Format exportieren.
- Wiederholen: Hiermit können Sie eine Mehrfachlage für die Lage(n) erstellen, die Sie ausgewählt haben.
- Globale Lage verwenden: Hiermit aktivieren Sie die Spalte für eine globale Lage.
- Layout: Hiermit können Sie die Lagen von Unten im Layup zu Oben im Layup umkehren. Die Lagen werden visuell umgedreht. Beim Exportieren der Nastran-Datei wird immer das Format verwendet, bei dem die Schichten sich unten im Layup befinden.
- Klicken Sie unter Lageoptionen auf Hinzufügen, um mit der Definition der ersten Lage zu beginnen. Diese Lage befindet sich ganz unten im Layup.
- Lage-ID: Jede Lage im Verbund hat eine eindeutige ID. Diese IDs werden automatisch von Inventor Nastran erstellt, wenn Sie die Schichten in diesem Dialogfeld erstellen. Sie können nicht geändert werden.
- Material: Jede Lage kann ein anderes Material aufweisen. In diesem Pulldown-Menü können Sie ein Material auswählen, das unter Materialien vordefiniert wurde.
- Dicke: Jede Lage kann über einen eigenen Wert für die Dicke verfügen.
- Winkel: Dies ist der Ausrichtungswinkel der Lage. Dieser Winkel wird in Bezug auf den Winkel der Materialausrichtung berechnet. Ein Lagenwinkel von Null entspricht der Materialausrichtung.
- Spannung/Dehnung: Hiermit können Sie die Spannungsausgabe für jede Lage steuern, indem Sie die Einstellung auf EIN oder AUS setzen.
-
Schichteigenschaften:
- Schichtoptionen: Hiermit können Sie verschiedene Schichtarten definieren, wie beispielsweise SYM, HCS, FCS, ACS, SME oder SMC.
- Beim Schichstoff SYM werden nur die Lagen auf einer Seite der Mittellinie des Elements angegeben. Die Lagen werden nummeriert, beginnend mit 1 für die unterste Lage. Wenn bei LAM = SYM eine ungerade Anzahl an Lagen gewünscht wird, muss die Dicke der mittleren Lage (Ti) der Hälfte der tatsächlichen Dicke entsprechen.
- Bei den Laminaten HCS, FCS und LAM wird zur Ausgabe des Stabilitätsbeiwerts der Deckschicht ein Verbundsandwich definiert. Bei HCS wird ein Wabenmuster-Kernmaterial verwendet, bei FCS ein Form-Kernmaterial, und bei ACS wird auf Grundlage des angegebenen Kernmaterials entweder HCS oder FCS ausgewählt.
- Bei LAM = SME werden die Lageneffekte verwischt, und die Stapelsequenz wird ignoriert. Beim Laminat SMC wird ein Verbundsandwich mit entsprechenden orthotropen Eigenschaften definiert.
- Fehlertheorie: Dies ist die Lagenfehlertheorie. Die folgenden Theorien sind zulässig. Wenn das Feld leer ist, wird keine Fehlerberechnung durchgeführt. Hill ist als Vorgabe für die Fehlertheorie eingestellt.
- HILL für die Hill-Theorie.
Orthotrope Materialien mit gleicher Festigkeit bei Zug und Druck.
- HOFF für die Hoffman-Theorie.
Orthotrope Materialien unter einem allgemeinen ebenen Spannungszustand mit ungleicher Festigkeit bei Zug und Druck.
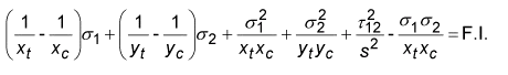
- TSAI für die Tsai-Wu-Theorie.
Orthotrope Materialien unter einem allgemeinen ebenen Spannungszustand mit ungleicher Festigkeit bei Zug und Druck.
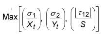
- Maximale Spannung für die Theorie der maximalen Spannung.
- Maximale Dehnung für die Theorie der maximalen Dehnung.
- LaRC02 für die NASA LaRC-Theorie.
Orthotrope Materialien, die aus unidirektionalen Lagen unter einem allgemeinen ebenen Spannungszustand bestehen. Weitere Informationen finden Sie im Benutzerhandbuch für Autodesk Nastran, Referenz 5.
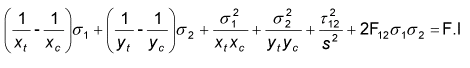
- PUCK für die Puck PCP-Theorie.
Orthotrope Materialien, die aus unidirektionalen Lagen unter einem allgemeinen ebenen Spannungszustand bestehen. Weitere Informationen finden Sie im Benutzerhandbuch für Autodesk Nastran, Referenz 12 und 13.
- Festigkeitsverhältnis: Steuert die Ausgabe des Tsai-Festigkeitsverhältnisses, das bei der Ergebnisausgabe für Verbundelementlagen anstelle des Fehlerindex angegeben wird. Wenn diese Option auf EIN gesetzt ist, kann der Parameter PARAM,STRENGTHRATIO,ON definiert werden, und das Tsai-Festigkeitsverhältnis wird berechnet. Das Festigkeitsverhältnis gilt als aussagekräftiger als der Fehlerindex, da es genau angibt, wie die angewendete Last geändert werden muss, um eine optimale Leistung der Lage zu erzielen.
- Zulässige Bond-Scherspannung: Dieser Wert definiert die interlaminare Scherspannung eines Verbundmaterials. Dieser Wert ist erforderlich, damit ein Verbund-Fehlerindex ausgegeben werden kann.
- Abstand der unteren Fasern: Entspricht vorgabemäßig der Hälfte der Gesamtdicke. Sie können diesen Wert ändern, indem Sie das Kontrollkästchen links aktivieren und einen neuen Wert in das Feld auf der rechten Seite eingeben.
- GE (Dämpfungskoeffizient): Dieser Wert definiert den Dämpfungskoeffizienten der Strukturelemente, der das Doppelte des kritischen Dämpfungsverhältnisses
beträgt, das für dynamische Analysen verwendet wird. Dies soll in späteren Versionen unterstützt werden.
- NSM: Ermöglicht die Definition einer nichtstrukturellen Masse pro Flächeneinheit.
(Ref.- Temperatur): Dieser Wert definiert die Referenztemperatur der Verbundlagen (aller Lagen) für temperaturabhängige Materialeigenschaften. Diese Funktion wird in späteren Versionen unterstützt.
(Gesamtdicke): Zeigt die Gesamtdicke, die im Schichtstoff angegeben ist.
-
Techniken zur Erstellung von Lagen:
- Es gibt viele praktische Möglichkeiten zum Definieren der verschiedenen Lageneigenschaften.
- Klicken Sie für die erste Zeile auf Hinzufügen, klicken Sie in die Spalte Material der Zeile, und wählen Sie ein Material. Die Vorgabewerte für die übrigen Spalten werden automatisch geladen.
- Wählen Sie nun die Lagen-ID 1 aus.
- Geben Sie 2 in das Feld neben der Wiederholen-Schaltfläche ein (der Vorgabewert ist 1), und klicken Sie auf die Schaltfläche Wiederholen. Die erste Zeile wird zweimal kopiert. Die folgende Abbildung zeigt das Ergebnis.
- Ändern Sie die Winkel von oben nach unten in 45, 0 und -45.
- Wählen Sie nun alle Lagen aus. Klicken Sie dann auf die Schaltfläche Symmetrisch.
- Dadurch werden gespiegelte Reihen der ausgewählten Lagen erstellt.
- Die folgende Abbildung zeigt das Ergebnis.
- Bei Auswahl von Anti-Symmetrisch werden ebenfalls gespiegelte Zeilen erstellt, jedoch mit entgegengesetzten Vorzeichen für die Lagenwinkel.
- Sie können mehrere Lagen auswählen und dann zum Ändern mit der rechten Maustaste auf ein Feld klicken. Wählen Sie dann Bearbeiten.
- Ändern Sie die entsprechende Eigenschaft einer Lage. Alle entsprechenden Eigenschaften werden gleichzeitig geändert.
-
Beispiel für das Dialogfeld Schicht:
- Die Layup-Konfiguration in diesem Beispiel enthält drei Lagen:
- Für die Konfiguration einer Verbundebenen-Eigenschaft mit drei Lagen würde das Dialogfeld Schicht die folgenden Einträge enthalten. Beachten Sie, dass die Eigenschaft von unten nach oben definiert wird.
- Der Wert für Abstand der unteren Fasern wird automatisch aktualisiert (-1/2 Gesamtdicke). Dies ist der Abstand von der Referenzebene zur unteren Oberfläche. Lage 1 ist die unterste Lage, und die letzte definierte Lage ist die oberste Lage (Lage 3 in diesem Fall).
- Klicken Sie auf die Schaltfläche Vorschau
, um die Optionen Layup anzeigen und ABD-Matrix anzeigen einzublenden.
- Die Optionen Layup anzeigen und ABD-Matrix anzeigen werden einzeln eingeblendet, wenn Sie auf
klicken. Zum Ausblenden klicken Sie auf die Schaltfläche
.
- Layup anzeigen: Zeigt die grafische Darstellung der definierten Lagen.
- ABD-Matrix anzeigen: Die entsprechenden Schichteigenschaften werden in einer ABD-Matrix zusammen mit der Anzahl der Lagen und der in der Lage definierten Gesamtdicke angezeigt.
- Popup-Menü: Wenn Sie mit der rechten Maustaste auf die Zeilen klicken, wird das Popup-Menü eingeblendet, wie unten gezeigt:
- Lage hinzufügen: Hiermit können Sie eine neue Lage hinzufügen.
- Bearbeiten: Hiermit können Sie die Eigenschaft bearbeiten. Wählen Sie eine beliebige Eigenschaft, z. B. Material, globale Lage oder Dicke. Wenn Sie eine Mehrfachauswahl treffen und dann auf Bearbeiten klicken, wird der Wert in allen Lagen geändert.
- In globale Schicht konvertieren: Hiermit können Sie eine normale Lage in eine globale Lagendefinition umwandeln.
- Ausschneiden: Hiermit schneiden Sie die ausgewählte(n) Lage(n) aus.
- Kopieren: Hiermit kopieren Sie die ausgewählte(n) Lage(n).
- Einfügen: Hiermit fügen Sie die Lage(n) ein, die Sie zuvor ausgeschnitten oder kopiert haben. Verschiedene Optionen sind verfügbar: Über einfügen, Oberhalb einfügen, Unterhalb einfügen, Oberhalb symmetrisch einfügen, Unterhalb symmetrisch einfügen, Oberhalb anti-symmetrisch einfügen, Unterhalb anti-symmetrisch einfügen.
- Rückgängig: Hiermit machen Sie den letzten Vorgang rückgängig.
- Wiederherstellen: Hiermit stellen Sie den letzten Vorgang wieder her.
- Löschen: Hiermit löschen Sie die ausgewählte(n) Lage(n).
- Lagen umkehren: Hiermit können Sie die Lage(n) umkehren, die Sie ausgewählt haben.