Description | Type | Default |
---|---|---|
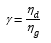
Topology optimization maximum permitted gray scale. Applicable only when using an adjustable volume fraction and when the solution has trouble converging. The auto setting uses a value of 2.0. The gray scale is computed using:
![]() where nd is the number of elements in the design space between 0.2 and TOPTBTHRESHOLD. ng is the number of elements in the design space greater than TOPTBTHRESHOLD. |
Real > 0.0
AUTO |
AUTO |