Assumptions
Calculations
h, b - dimensions of column cross section b<=h
Ac - cross sectional area of column, Ac = bxh
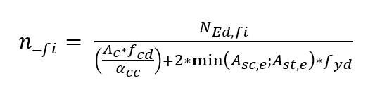
n_fi - load ratio

ω - modified mechanical reinforcement ratio

eN - modified, total first order eccentricity of the normal force, NEd,fi
a - axis distance of the main bars
NEd,fi - design axial load in the fire condition
M0Ed,fi - design first order moment in the fire condition
Maximum permissible slenderness ratio under fire conditions (λfi,max) is calculated based on the tables contained in Annex C of EN 1992-1-2:2004/A1:2019. It based on the modified mechanical reinforcement ratio (ω), load ratio (n_fi), modified, total first order eccentricity of the normal force (eN), axis distance of the main bars (a), and dimension of column cross section. The reference dimension for the cross section in the tables is always the smaller cross section dimension "b".
The values of maximum permissible slenderness ratio under fire conditions ( λ fi,max ) from the tables in Annex C are linearly interpolated.
After the calculations, in the "Column-note" section, there is information about whether the verification results are marked as "OK" or "NOT OK", along with a set of warnings that are displayed if the code requirements have not been met.
The "NOT OK" status is displayed when any warning occurs. This means that specific code requirements have not been met, and the user-defined values cannot be used in the calculations. In such circumstances, the nearest limit values from the tables in Annex C are used for the calculations, and all steps are performed based on these values, and shown in the note. This kind of note can be helpful during the process of correcting the adopted model by allowing the user to check and compare specific results. In order to achieve an "OK" status, the model should be revised by the user according to the instructions provided by the warnings.
The calculation results of fire analysis can be checked in the "Column-note" tab, paragraph 2.5. All reported warnings are displayed, along with a quick response indicating whether the verification results are correct or incorrect. Additionally, the calculation results for individual steps, as well as the final calculations and comparisons with the limit values specified in the standard, can be reviewed.
Example of Column Note for RSA version 2025:

Additionally, warnings are displayed also in separate dialog window, which is shown immediately after calculations.
