The modal response is determined by means of the following formula.
where:
n - Number of modes
e ij - Correlation coefficients
R i , R j - Spectral response to the modes i and j
The following types of quadratic combinations are available in the program.
For SRSS method, the correlation coefficients equal:
eij = 1 for i=j,
eij = 0 for i≠j,
thus:
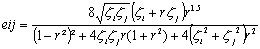
For CQC method, the correlation coefficients are calculated based on the following formula.
where:
ζ i , ζ j - Damping coefficients for the modes i and j (relative values)
r = Min (T i /T j ; T j /T i ) ≤ 1
T j , T i - Vibration periods for the modes i and j.
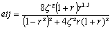
The above formula is used when the Include damping in calculations option is selected in the dialog with modal analysis parameters. If this option is deselected, one damping value is applied to all modes and the formula above assumes the following form.
where Rdir1 is the representative maximum value of a particular response of a given element to a given component of an earthquake, defined as a dir1; Rkdir1 is a peak value of the element response due to the k-th mode.
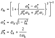
where Rdir1 is the representative maximum value of a particular response of a given element to a given component of an earthquake, defined as a dir1; Rkdir1 is a peak value of the element response due to the k-th mode (k <-> s); N is a number of modes.

τ denotes duration of an earthquake
ξk is a damping coefficient for the k-th mode
ωk is a pulsation for the k-th mode (k <-> s).
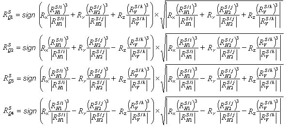
The formulas that allow evaluating a quadratic combination signed RQ for the directions H1, H2 and V:

where:

RH1 - Quadratic response of the quantity calculated from all modal responses of a seismic or spectral case for the first horizontal direction.
RH2 - Quadratic response of the quantity calculated from all modal responses of a seismic or spectral case for the second horizontal direction.
RV - Quadratic response of the quantity calculated from all modal responses of a seismic or spectral case for the vertical direction.
Rx, Ry, Rz - Coefficients defined as for a quadratic combination in the Direction definition dialog box.