Clevis Pin Joint Calculations for English Units

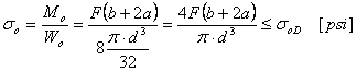
Bending stress

Pressure in rod

Pressure in clevis

Shear stress

where:
| | F | force [lb] |
| | σ 0 | bending stress [psia] |
| | σ 0D | allowable bending stress [psi] |
| | M 0 | bending moment [lb ft] |
| | W 0 | bending section modulus [in 3 ] |
| | τ | shear stress [psi] |
| | τ D | allowable shear stress [psi] |
| | d | pin diameter [in] |
| | p 1 | pressure in rod [psia] |
| | p 2 | pressure in clevis [psi] |
| | p 1D | allowable pressure in rod [psi] |
| | p 2D | allowable pressure in clevis [psi] |
| | b | rod width [in] |
| | a | clevis arm width [in] |