Synchronous Belt Length Calculation

Belt pitch length is given by number of belt teeth and circular pitch. The belt trajectory is based on individual pulley position. The pitch diameter of each pulley is determined based on the following equations. The sliding pulley position is adjusted to accomplish standard belt length criteria. The calculation uses an iteration solution to find the appropriate sliding pulley position that is closest to the desired sliding pulley position.

Determine exact pitch diameter

 

Synchronous pulley clockwise or double-sided belt

 

 

Flat pulley clockwise or double-sided belt

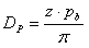
D p = D + 2(a + h t )

 

Synchronous pulley counterclockwise and single-sided belt

D p = D 0 + 2(H - a - h t )

 

Flat pulley counterclockwise and single-sided belt

D p = D + 2(H - a - h t )

Example of power transmission with 2 pulleys

Arc of contact

Pitch belt length

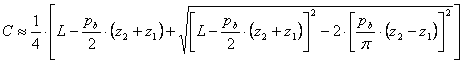
Center distance

Following formula is recommended when determining the center distance of a new drive

0.2 pb (z1 + z2) ≤ C ≤ 0.7 pb (z1 = z2)

Meaning of used variables:

z

Number of teeth of given pulley/ Number of belt teeth [-]

p b

Circular pitch [m]

D

Nominal flat pulley diameter [m]

a

Pitch line offset [m]

h t

Belt tooth height [m]

D 0

Outside synchronous pulley diameter [m]

H

Belt height [m]

C

Center distance of given pulley and driver pulley [m]

  β

Arc of contact [deg]