Clevis Pin Joint Calculations for Metric Units

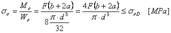
Bending stress

Pressure in rod

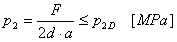
Pressure in clevis

Shear stress

where:
| | F | force [N] |
| | σ 0 | bending stress [MPa] |
| | σ 0D | allowable bending stress [MPa] |
| | M 0 | bending moment [N mm] |
| | W 0 | bending section modulus [mm 3 ] |
| | τ | shear stress [MPa] |
| | τ D | allowable shear stress [MPa] |
| | d | pin diameter [mm] |
| | p 1 | pressure in rod [MPa] |
| | p 2 | pressure in clevis [MPa] |
| | p 1D | allowable pressure in rod [MPa] |
| | p 2D | allowable pressure in clevis [MPa] |
| | b | rod width [mm] |
| | a | clevis arm width [mm] |