These formulas are used to solve either a shaft (with one or more sections) or a beam (with one constant section) with multiple supports and loads.
The shaft / beam axis is aligned with the Z axis. If the impact of the material density is included in the calculation, the gravity vector is aligned with the Y axis.
Shear forces:
 
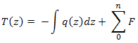
Bending moments:
 
Deflection angle:
 
where:
| E | modulus of elasticity in tension | |
| J | moment of inertia | |
| G | modulus of rigidity | |
| β | shear displacement ratio | 
Deflection:
 
Bending stress:
 
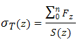
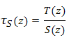
Shear stress:
 
Torsion stress:
 
Tension stress:
 
Reduced stress:
 
where:
| σ B | bending stress | |
| σ T | tension stress | |
| τ | torsion stress | |
| τ S | shear stress | |
| α | α = 3 for HMH | |
| α = 4 for Tresca-Guest | 
Sample Calculation
 
Modulus of elasticity E = 210 000 MPa
Modulus of rigidity G = 81 000 MPa
Shear displacement ratio β = 1.118
Mode of reduced stress: HMH
Do not include the material density.
Support Forces:
 
 
Maximal shear stress:
 
Maximal torsion stress:
 
Maximal moment:
 
Maximal bending stress:
 
Maximal reduced stress:
 
Angle of twist:
 
