Key Joint Calculation Formulas in Metric Units

Transferred torque

where:
Calculation of Minimum Shaft Diameter
shaft inside diameter d h > 0
a) 
b) if d min ≤d h -> d min = 1.1 d h [mm]
c) if d min ≤ 1.5 d h -> d min = 1.5 d h [mm]
shaft inside diameter d h = 0

where:
| | d min | minimal shaft diameter [mm] |
| | d h | shaft inside diameter [mm] |
| | T | torque [Nm] |
| | K a | application factor |
| | K f | fatigue-life factor |
| | S v | desired safety |
| | τ A | Allowable Shear Stress |
General calculation
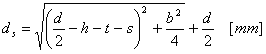
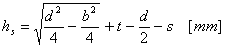
| | the range of force activity on the shaft |
h k = h - h s - 2 s [mm] | the range of force activity on the hub |
| | shaft diameter of the range of the force activity |
| | hub diameter of the range of the force activity |
| | force on shaft |
| | force on hub |
where: | |
| | T | torque [Nm] |
| | F s | force on shaft [N] |
| | F h | force on hub [N] |
| | K a | application factor |
| | K f | wear-life factor |
| | K w | application factor |
| | K m | load distribution factor |
| | S v | desired safety |
| | d | shaft diameter [mm] |
| | d s | shaft diameter where force F s actuates [mm] |
| | d h | shaft diameter where force F d actuates [mm] |
| | N | number of grooves [-] |
| | h | height of groove |
| | h s | height of force point of action on shaft [mm] |
| | h h | height of force point of action on hub [mm] |
| | b | width of groove |
| | t | groove depth in shaft [mm] |
| | s | chamfer |
| | p Dmins | minimal allowable pressure (groove, shaft) [MPa] |
| | p Dminh | minimal allowable pressure (groove, hub) [MPa] |
Minimum key length to transfer the torque
1. Fixed connection: | a) |
| | b) |
| | L min = min(L mins , L minh ) |
2. Flexible connection: | a) |
| | b) |
| | L min = min(L mins , L minh ) |
where: | |
| | F s | force on shaft [N] |
| | F h | force on hub [N] |
| | K a | application factor |
| | K f | wear-life factor |
| | K w | application factor |
| | K m | load distribution factor |
| | S v | desired safety |
| | d | shaft diameter [mm] |
| | N | number of grooves [-] |
| | h s | height of force point of action on shaft [mm] |
| | h h | height of force point of action on hub [mm] |
| | p Dmins | minimal allowable pressure (groove, shaft) [MPa] |
| | p Dminh | minimal allowable pressure (groove, hub) [MPa] |
Minimal Allowable pressure
1. Fixed connection: | a) |
| | b) |
2. Flexible connection: | a) |
| | b) |
where: | |
| | F s | force on shaft [N] |
| | F h | force on hub [N] |
| | K a | application factor |
| | K f | wear-life factor |
| | K w | application factor |
| | K m | load distribution factor |
| | S v | desired safety |
| | d | inside diameter of groove section [mm] |
| | N | number of grooves [-] |
| | h s | height of force point of action on shaft [mm] |
| | h h | height of force point of action on hub [mm] |
| | l f | active key length [mm] |
Strength Check
p mins ≤ p Ds
p minh ≤ p Dh
where:
| | p mins | minimal calculated shear pressure in shaft [MPa] |
| | p minh | minimal calculated shear pressure in hub [MPa] |
| | p Ds | allowable pressure in shaft [Mpa] |
| | p Dh | allowable pressure in hub [Mpa] |
Simplified calculation
Minimum key length to transfer the torque
1. Fixed connection: | |
2. Flexible connection: | |
where: | |
| | T | torque [Nm] |
| | K a | application factor |
| | K f | wear-life factor |
| | K w | application factor |
| | K m | load distribution factor |
| | S v | desired safety |
| | d | shaft diameter [mm] |
| | N | number of grooves [-] |
| | h | height of groove |
| | s | chamfer |
| | h st | connection height h st = h - 2 s [mm] |
| | p Dmin | allowable pressure on supporting surface of shaft, groove, or hub [MPa] |
Allowable pressure
1. Fixed connection: | |
2. Flexible connection: | |
where: | |
| | T | torque [Nm] |
| | K a | application factor |
| | K f | wear-life factor |
| | K w | application factor |
| | K m | load distribution factor |
| | S v | desired safety |
| | d | shaft diameter [mm] |
| | N | number of grooves [-] |
| | h | height of groove |
| | s | chamfer |
| | h st | connection height h st = h - 2 s [mm] |
| | l f | active key length [mm] |
Strength Check
p min ≤ p Ds
p min ≤ p Dh
where:
| | p min | minimal calculated h/2 pressure [MPa] |
| | p Ds | allowable pressure in shaft [Mpa] |
| | p Dh | allowable pressure in hub [Mpa] |