Separated Hub Formulas for English Calculation


Minimum hub length

Recommended values: L = (0.6 - 3) d
Force carried by one bolt

Strength check
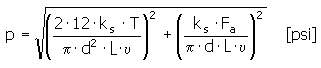
p ≤ pA
where:
| | F a | axial force [lb] |
| | T | torque [lb ft] |
| | d | shaft diameter [in] |
| | p | contact pressure in a joint [psi] |
| | p A | allowable pressure [psi] |
| | L | hub length [in] |
| | υ | clamping factor υ = 0.008 to 0.1 [-] |
| | k s | slip safety [-] |
| | F | force carried by one bolt [lb] |
| | F s | force carried by all bolts [lb] |
| | i | total number of bolts [-] |