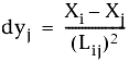
El cambio en las coordenadas de cada observación se expresa en las siguientes aproximaciones de series de Taylor de la ecuación de observación de ángulo:
Donde
- Lij = la longitud observada de la línea IJ
- Lik = la longitud observada de la línea IK
- Lik = la longitud observada de la línea IK
- Xi, Yi = las coordenadas más probables del punto I
- Xj, Yj = las coordenadas más probables del punto J
- Xk, Yk = las coordenadas más probables del punto K
La siguiente ilustración muestra la geometría de la ecuación de observación de ángulo: