Los perfiles con huecos se forman mediante la soldadura de almas de corte longitudinal de secciones laminadas (secciones en I laminadas disponibles en catálogos de perfiles). Hay dos tipos de perfiles con huecos disponibles: los que tienen huecos hexagonales o los que tienen huecos redondos.
Las barras con huecos solo pueden dimensionarse según la norma de acero polaca.
Los siguientes parámetros especifican un perfil con huecos:
- x = h + c indica los huecos hexagonales.
- x = h + c + hs indica los huecos hexagonales con una pletina separadora.
-x = H indica los huecos redondos (H es la altura total de la sección especificada por el usuario).
|
Huecos hexagonales: c: profundidad de corte w: distancia entre huecos a: separación de huecos |
|
Huecos hexagonales con una pletina espaciadora adicional: c: profundidad de corte w: distancia entre huecos hs: altura de una pletina separadora a: separación de huecos |
|
Huecos redondos: d: diámetro de huecos w: distancia entre huecos H: altura de la sección |
Propiedades geométricas
Altura total de la sección: H = h + c + h s
Área de sección transversal de la sección maciza
Ap = A + c * tw
Área de sección transversal de la sección con un hueco
Ao = A - c * tw
Área de sección transversal de la parte en forma de T de una sección (sección con hueco)
A = 0.5 * Ao
Áreas de sección transversal eficaces para cortante
Ay = 2 * bf * tf: área de sección transversal de las alas
Az = tw * (h - 2 * tf - c): área de sección transversal del alma en la sección más débil con hueco
Posición del centro de gravedad de la sección
vz = vpz = 0.5 * H
vy = vpy = 0.5 * bf
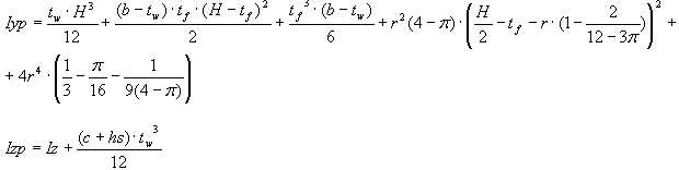
Momentos de inercia en los ejes Y y Z respectivamente de la sección compuesta únicamente de alas:


Media aritmética de los momentos de inercia de las secciones debilitadas y no debilitadas por huecos

Momento de inercia durante la torsión
Propiedades geométricas
d: diámetro de huecos
w: distancia entre huecos
H: altura de la sección nueva (altura total de la sección con una pletina separadora)
Área de sección transversal de una sección maciza
Ap = A + (H - h) * tw
Área de sección transversal de una sección con un hueco
Ao = A + (H - h - d) * tw
Área de sección transversal de la parte en forma de T de una sección (sección con hueco)
A = 0.5 * Ao
Áreas de sección transversal eficaces para cortante
Ay = 2 * bf * tf: área de sección transversal de las alas
Az = tw * (H - 2 * tf - d): área de sección transversal de un alma en la sección más débil con hueco
Posición del centro de gravedad de la sección
vz = vpz = 0.5 * H
vy = vpy = 0.5 * bf
Momentos de inercia en los ejes Y y Z respectivamente de la sección compuesta únicamente de alas:
Una sección maciza

Una sección con un hueco

Media aritmética de los momentos de inercia de las secciones debilitadas y no debilitadas por los huecos

Momento de inercia durante la torsión
Peso propio
Dado que los perfiles con huecos hexagonales están formados por una sección estándar (con parámetros conocidos) que casi no tiene pérdidas (solo los extremos de la sección, pero se pueden ignorar), su peso es el de la sección inicial. Si la sección incluye placas de pletinas espaciadoras, se debe añadir su peso a ella:
G = g + Gs
g: peso de la sección inicial
donde:
h s *t w : área de sección transversal de una pletina separadora
r s : peso unitario de acero
Por lo tanto, el peso propio:
El peso propio de un perfil con huecos redondos debe calcularse como un peso de la sección con una pletina espaciadora (altura "H") y de la sección transversal maciza y reducirse por el peso de los huecos.
Peso de la sección inicial (de una base de datos): g
Peso de la sección maciza con una pletina separadora: g1 = g + rs * (H - h) * tw
Peso del perfil con huecos redondos
Los perfiles con huecos también están disponibles en los siguientes catálogos de perfiles: