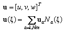
Las estructuras volumétricas de Robot se modelan mediante elementos finitos volumétricos isoparamétricos con aproximación de campo de desplazamiento basada en las funciones de forma de primer orden.
Están disponibles los siguientes tipos de elementos: ladrillo B8, chaveta W6 y tetraedro T4. Las funciones de forma y la numeración de nudos relacionados con elementos de referencia 3D se muestran en la tabla siguiente.
|
Elemento de referencia |
Funciones de forma |
|---|---|
|
|
|
|
|
|
La descripción de la geometría de elementos, la evaluación de deformaciones, las tensiones, la rigidez y la matriz de masas, así como el vector de fuerza de elementos para todos los tipos de elementos enumerados, se realiza de la siguiente manera:
Geometría del elemento
La geometría de elementos se basa en la asignación isoparamétrica de un elemento de referencia a un elemento arbitrario.

Campos de desplazamiento dentro del elemento
Evaluación de deformaciones
Donde las matrices B se definen como se indica a continuación:
Las derivadas de funciones de forma en los elementos de la matriz B se definen como se indica a continuación:

Tensiones (caso elástico)
Donde e o son las deformaciones impuestas (dilatación y contracción térmica) y D es una matriz constitutiva. La matriz constitutiva D (material isotrópico lineal - elástico) se muestra de la siguiente forma: