Cálculo de la armadura de vigas de gran canto: principios

El método de cálculo de las vigas de gran canto se basa en los siguientes principios presentados, tal como se definen en el apéndice E5 de la norma francesa BAEL 91.

En la descripción de los métodos de cálculo del área de armadura de vigas de gran canto se han adoptado las siguientes definiciones de símbolos:

lt

Longitud de la viga de gran canto en los ejes de los apoyos.

lo

Longitud de la viga de gran canto en la cara de los apoyos.

l

Longitud de cálculo de la viga de gran canto = min(lt; 1,15lo).

h

Altura de la viga de gran canto.

bo

Anchura de la viga de gran canto.

z

Brazo de los esfuerzos internos.

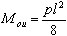
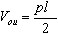
p

Una carga uniforme, que reconoce los coeficientes de carga para cargas constantes y variables.

Un momento originado a partir de la carga "p".

Esfuerzo cortante originado en la acción de la carga "p".

Esfuerzo cortante igual:

Consulte también lo siguiente:

Espesor mínimo de una viga de gran canto.

Cálculos de armadura.