La opción de hundimiento medio está disponible para todas las normas excepto la francesa (DTU 13.12 y Fascicule 62 Titre V). La activación del análisis de este estado límite, así como la determinación del valor límite de hundimiento, se llevan a cabo en el cuadro de diálogo Opciones geotécnicas.
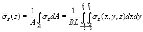
Los cálculos del hundimiento medio se basan en los supuestos y fórmulas de la teoría lineal de la elasticidad. Los cálculos se realizan a partir de las tensiones calculadas mediante la fórmula de Boussinesque y el principio de superposición.

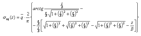
donde:
B: cota transversal de un rectángulo (cimentación).
L: cota longitudinal de un rectángulo (cimentación).
Tenga en cuenta que en la norma SNiP 2.02.01-83 se aplica un método de cálculo diferente (consulte a continuación las descripciones detalladas de las normas individuales).
La fórmula describe un valor medio de las tensiones bajo un área rectangular. Se deriva de la fórmula de Boussinesque, que describe la distribución de las tensiones debidas a una carga de fuerza concentrada en un semiespacio elástico.

La aplicación del principio de superposición permite calcular la tensión en el punto P(0,0,z), que proviene de una zona arbitraria con una carga uniforme de acuerdo con lo siguiente:

Las soluciones a las ecuaciones anteriores para los puntos de esquina del área rectangular, el punto ubicado bajo el centro del área rectangular, así como para el valor medio bajo el área rectangular, proceden de los estudios correspondientes. Para obtener el valor de la tensión media bajo el área rectangular, se debe utilizar la fórmula siguiente que, tras la integración, adopta la forma aplicada en el algoritmo de cálculo.

Tenga en cuenta que, cuando hay aguas subterráneas, la presión de Arquímedes y el peso del agua se incluyen en los cálculos.
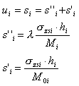
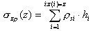
Las tensiones adicionales del suelo, incluidas en los cálculos de hundimiento, son la diferencia entre las tensiones causadas por la carga externa y las tensiones originales.
donde:
M 0n: el módulo de compresibilidad original (sin tener en cuenta los efectos de relajación) y edométrica (obtenida en el aparato de compresión triaxial) del suelo en la banda n-th. La relación entre el módulo de Young y el módulo de compresibilidad edométrica se expresa mediante la fórmula:
.
Tenga en cuenta que en la norma SNiP 2.02.01-83 se aplica un método de cálculo diferente (consulte a continuación las descripciones detalladas de las normas individuales).
Tenga en cuenta también que no se especifica un valor del coeficiente de Poisson para un tipo de suelo determinado. Las bases de datos de suelos de cada país pueden incluir los valores E = M, que corresponden a un material perfectamente compresible (ν = 0.0). Los valores típicos del coeficiente de Poisson equivalen a 0.2÷0.3 en el caso de los suelos no cohesivos (el valor 0.2 se refiere a los suelos de grano grueso, como las gravas, mientras que el 0.3 se refiere a los suelos de grano fino, como los polvos) y 0.25÷0.37 en el caso de los suelos cohesivos (el valor 0.25 se refiere a los suelos altamente consolidados y 0.37 a los suelos limosos).
Se aplican los siguientes requisitos nacionales individuales para las limitaciones y exigencias.
Los cálculos de este estado límite no están disponibles.
Los cálculos generales cumplen los requisitos establecidos en el punto 6.6.1 y en el apéndice D. Los valores de hundimiento de las capas se suman hasta alcanzar la profundidad. El valor límite de tensiones adicionales es inferior al 20% [6.6.1] (2).
Los cálculos generales cumplen los requisitos establecidos en el punto 6.6.1 y en el apéndice D. Los valores de hundimiento de las capas se suman hasta alcanzar la profundidad. El valor límite de tensiones adicionales es inferior al 20% [6.6.2] (6).
Los cálculos de los valores de hundimiento se realizan de acuerdo con los requisitos de la norma (punto 3.5 y Apéndice 2). Las fórmulas para obtener las tensiones generales del suelo corresponden a las fórmulas Z2-9 en las tensiones medias bajo el área rectangular y a la fórmula 16 en las tensiones originales y se aplican en los cálculos. Los efectos de presión de flujo no se tienen en cuenta.
Es posible tener en cuenta los efectos de la descarga del suelo a través de una excavación de acuerdo con 3.5.1.2. Los efectos de descarga se calculan como tensiones negativas causadas por cargas externas iguales al peso del suelo retirado. Está disponible en el cuadro de diálogo Opciones geotécnicas (duración de la construcción) y equivale a una definición del valor λ de la norma igual a 0.0 o 1.0 de acuerdo con 3.5.3. El hundimiento total de una banda de suelo se calcula a partir de la fórmula.

La segunda de las fórmulas anteriores es idéntica a la fórmula de hundimiento de una banda dada en el algoritmo general.
En las versiones polacas, los valores de hundimiento de las capas se añaden hasta alcanzar la profundidad en la que el valor límite de las tensiones adicionales es inferior al 30% del original.
Los cálculos de hundimiento se realizan de acuerdo con los requisitos de la norma (punto 2.39 y Apéndice 2).

Las tensiones causadas por las cargas externas se calculan sobre la base de la fórmula de la norma en el Apéndice 2 (2).
El coeficiente α se determina con arreglo al Apéndice 2 (Tabla 1), para lo que se realiza una interpolación lineal entre los valores indicados en la tabla.
Los valores de hundimiento de las capas se añaden hasta que se alcanza la profundidad en la que el valor límite de las tensiones adicionales es inferior al 20% del original. Si la capa a esta profundidad posee el módulo de Young del valor E<5MPa o una capa que se encuentra inmediatamente debajo de ella posee el módulo de este valor, se realizan cálculos hasta alcanzar la profundidad en la que el valor límite de las tensiones adicionales es inferior al 10% de las tensiones (Apéndice 2 punto 6).