Utilice esta opción para permitir el análisis detallado de las barras de madera. Para acceder a la opción, haga clic en el botón Detallado del cuadro de diálogo con resultados detallados de la norma EC5.
Los cálculos siguientes se realizan en función de los requisitos descritos en el EUROCÓDIGO 5:
Los cálculos siguientes se realizan en función de los requisitos descritos en el EUROCÓDIGO 5:
Cada cálculo del análisis de barras se realiza de forma independiente, por lo que cada uno de ellos se puede iniciar por separado.
El cuadro de diálogo consta de estas tres fichas:
Se define una carga transversal a lo largo de la longitud de la viga. Después de calcular el valor del coeficiente Kc,90, se comprueba un valor de tensión para la compresión transversal (consulte EC5 5.1.5).
Los huecos se definen a lo largo de la longitud de la viga en los campos siguientes:
Posición del hueco (la posición de los huecos en la longitud de la viga debe especificarse en coordenadas reales o relativas).
Diámetro del hueco. En función de los valores definidos de los diámetros de huecos, se determina el valor del coeficiente de Khol:
Los huecos se definen a lo largo de la longitud de la viga en los campos siguientes:
Posición del hueco (la posición de los huecos en la longitud de la viga debe especificarse en coordenadas reales o relativas).
Diámetro del hueco. En función de los valores definidos de los diámetros de huecos, se determina el valor del coeficiente de Khol:
si b < = 90 mm, entonces
si D/h <= 0,1 : Khol = 1-0,555 (D/h) 3
si D/h >0,1 : Khol = 1,62/ (1,8+D/h) 2
si b > 90 mm, entonces
si D/h <= 0,1 : Khol = (1-0,555 (D/h) 3 ) x (90/b) 2
si D/h >0,1 : Khol = (1,62/ (1,8+D/h) 2 x (90/b) 2
Después de definir el valor del coeficiente de Khol, se comprueba la condición para la cizalladura (consulte EC5 5.1.7).
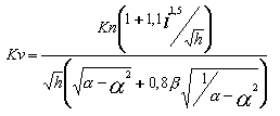
El coeficiente Kv se calcula en función de los valores de los parámetros geométricos de un extremo de viga (a continuación, se muestran dos posibilidades) de la siguiente fórmula:

donde:
i= Lb/(h-he) (i=0 para el primer tipo de apoyo)
a= he/h
b=La/h

Después de calcular el valor del coeficiente Kv, se comprueba la condición para la cizalladura (consulte EC5 5.1.7).
Cada ficha contiene la opción de Incluir en los cálculos. Si no se selecciona esta opción, el análisis (por ejemplo, cizalladura transversal) no se realizará y no se podrá acceder a todas las opciones de la ficha. Si la opción Incluir en los cálculos está seleccionada en cualquiera de las fichas, el análisis (por ejemplo, cizalladura transversal) se realiza después de definir varios parámetros.
Después de definir los parámetros disponibles en el cuadro de diálogo y hacer clic en el botón Calcular, se realiza el análisis adicional de las barras de madera. Una vez completado, se muestra una nota de cálculo con los resultados de los cálculos.