Modelo bilineal

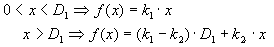
Los siguientes parámetros para el modelo bilineal se definen para los argumentos positivos x>0. También se especifica el valor de la derivada necesaria para definir la rigidez.

Función:

Derivada (rigidez):

Limitaciones: