Formules de calcul d'arbre

Ces formules permettent de résoudre soit un arbre (avec une ou plusieurs coupes), soit une poutre (avec une coupe constante) à l'aide de plusieurs supports et plusieurs charges.

L'axe de l'arbre/la poutre est aligné sur l'axe. Si l'impact de la densité de la matière est pris en compte dans le calcul, le vecteur de gravité est aligné sur l'axe Y.

Forces de cisaillement :

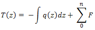
Moments de flexion :

Angle de flexion :

où :

 

E

module d'élasticité en tension

 

J

moment d'inertie

 

G

module de rigidité

  β

coefficient de déformation de cisaillement

Flexion :

Contrainte de pliage :

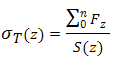
Contrainte de cisaillement :

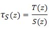
Contrainte de torsion :

Contrainte de tension :

Contrainte réduite :

où :

  σ B contrainte de pliage
  σ T

contrainte de tension

  τ contrainte de torsion
  τ S contrainte de cisaillement
  α α = 3 pour HMH
    α = 4 pour Tresca-Invité

Exemple de calcul

Module d'élasticité E = 210 000  MPa

Module de rigidité G = 81 000 MPa

Coefficient de déformation de cisaillement β = 1.118

Mode de calcul avec contrainte réduite : HMH

N'incluez pas la densité de la matière.

Forces de support :

Contrainte de cisaillement maximale :

Contrainte de torsion maximale :

Moment maximal :

Contrainte de pliage maximale :

Contrainte réduite maximale :

Angle de torsion :