Couple transféré
où :
|
P |
puissance transférée [kW] |
|
|
n |
vitesse [min -1 ] |
Pression sur la surface de support de la rainure
1. diamètre interne de l'arbre d h > 0
a)
b) si d min ≤d h -> d min = 1.1 d h [mm]
c) si d min ≤ 1.5 d h -> d min = 1.5 d h [mm]
2. diamètre interne de l'arbre d h = 0
où :
|
d min |
diamètre minimal de l'arbre [mm] |
|
|
d h |
diamètre interne de l'arbre [mm] |
|
|
T |
couple [Nm] |
|
|
K a |
facteur d'application |
|
|
K f |
facteur de résistance à la fatigue |
|
|
S v |
sécurité souhaitée |
|
|
τ Al |
Contrainte de cisaillement admissible |
Longueur minimale de cannelure nécessaire au transfert du couple
|
1. Assemblage fixe : |
![]() |
|
2. Assemblage souple : |
![]() |
|
où : |
|
T |
couple [Nm] |
|
|
K a |
facteur d'application |
|
|
K f |
facteur de résistance à l'usure |
|
|
K w |
facteur d'application |
|
|
K m |
facteur de répartition de la charge |
|
|
S v |
sécurité souhaitée |
|
|
d s |
diamètre médian = (D + d) / 2 [mm] |
|
|
D |
diamètre externe de la section de rainure [mm] |
|
|
d |
diamètre interne de la section de rainure [mm] |
|
|
N |
nombre de rainures [-] |
|
|
h |
hauteur de la rainure = (D - d) / 2 [mm] |
|
|
s |
chanfrein [mm] |
|
|
h st |
hauteur de l'assemblage h st = h - 2 s [mm] |
|
|
p Dmin |
pression admissible sur une surface de support d'arbre ou de rainure [MPa] |
Pression admissible
|
1. Assemblage fixe : |
![]() |
|
2. Assemblage souple : |
![]() |
|
où : |
|
T |
couple [Nm] |
|
|
K a |
facteur d'application |
|
|
K f |
facteur de résistance à l'usure |
|
|
K w |
facteur d'application |
|
|
K m |
facteur de répartition de la charge |
|
|
S v |
sécurité souhaitée |
|
|
d s |
diamètre médian = (D + d) / 2 [mm] |
|
|
D |
diamètre externe de la section de rainure [mm] |
|
|
d |
diamètre interne de la section de rainure [mm] |
|
|
N |
nombre de rainures [-] |
|
|
h |
hauteur de la rainure = (D - d) / 2 [mm] |
|
|
s |
chanfrein [mm] |
|
|
h st |
hauteur de l'assemblage h st = h - 2 s [mm] |
|
|
l f |
longueur de clavette active [mm] |
Vérification de la force
p min ≤ p ds
p min ≤ p dh
où :
|
p min |
pression h/2 minimale calculée [MPa] |
|
|
p ds |
pression admissible dans l'arbre [MPa] |
|
|
p dh |
pression admissible dans le moyeu [MPa] |
Calcul métrique d'après la norme CSN 01 4950
Contrainte de pliage
où :
|
s sf |
épaisseur à la corde du dedendum de dent de l'arbre |
s sf = 2.17m |
|
|
h |
hauteur de dent de l'arbre |
h = 1.1m - 0.05 |
centrage sur les côtés de la dent, fond de rainure arrondi |
|
h = 1.28m - 0.05 |
centrage sur les côtés de la dent, fond de rainure arrondi |
||
|
h = 1.2 m |
centrage externe |
Pression sur une surface de support de rainure
où :
|
h n |
hauteur de la cannelure supportant la charge |
h n = 0.9 m - 0.05 |
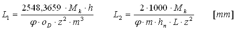
Longueur de cannelures minimale
L min = max {L 1 , L 2 } [mm]
où :
Valeurs recommandées : L = (0.8 - 1.6) D
Vérification des cannelures
p ≤ p d et σ≤σ d
où :
|
P |
puissance transférée [kW] |
|
|
n |
vitesse [min -1 ] |
|
|
z |
nombre de dents [-] |
|
|
p D |
pression admissible sur les surfaces de contact des dents [MPa] |
|
|
σ D |
contrainte de pliage admissible [MPa] |
|
|
L |
longueur de cannelure active [mm] |
|
|
D |
diamètre nominal de la cannelure [mm] |
|
| ϕ |
facteur d'engagement de la dent |