Ce système d’armature est divisé en deux zones.
Zone inférieure
L’armature appartenant à ce groupe est distribuée directement sur l’armature principale dans la zone suivante.
0,4h si h ≤ l
0.4*l si h > l
Si la partie principale de l’armature est distribuée dans la zone à la hauteur = 0,15*h ou 0,15*l, alors l’étendue de l’armature horizontale est limitée par le dessus et équivaut à 0,55*h ou 0,55*l.
Symboles :
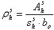
Ahi - section transversale d’armature horizontale au sein du calque.
shi - espacement d’armature.
Pourcentage de l’armature égal à
.
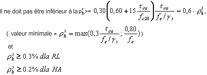
En outre, la condition suivante doit être vérifiée.
, alors l’armature doit être distribuée le long de toute la longueur de travée.
, alors une partie de l’armature dont la quantité minimale est égale à =
est distribuée le long de toute la longueur de travée, tandis que les autres composants de l’armature (sous la forme d’intercalaires) doivent être distribués dans la zone à proximité des appuis (dans la partie inférieure de la zone), sur une longueur de 0,3*lo (à partir de la longueur de l’appui). Zone supérieure
L’armature est distribuée le long de toute la longueur de travée conformément aux caractéristiques suivantes.
Symboles :
Ahs - section transversale de l’armature horizontale dans les calques.
shs - travée d’armature.
Le pourcentage de l’armature horizontale est égal à

Dans le cas où h > l, appliquez l’armature uniformément répartie dans la zone entre l et 1,5*l. Le pourcentage de cette armature doit être inférieur à max(0,5*rhs ; rhs(min)).