Pour modéliser les structures volumiques, Robot utilise les éléments finis volumiques isoparamétriques avec une approximation du champ de déplacement basée sur les fonctions de forme de premier ordre.
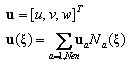
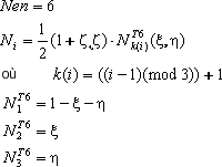
Les types d'éléments suivants sont disponibles : brique B8, biseau W6 et tétraèdre T4. Les fonctions de forme et la numérotation des nœuds définie sur les éléments 3D modèles sont données dans le tableau ci-dessous.
|
Elément de référence |
Fonctions de forme |
|---|---|
|
|
|
|
|
|
La description de la géométrie de l'élément et la définition des déformations, contraintes, matrices de rigidité et masses ainsi que du vecteur des forces dans l'élément pour tous les types d'éléments énumérés s'effectuent de la façon suivante :
Géométrie de l'élément
La géométrie de l'élément est définie par la projection isoparamétrique de l'élément modèle sur un élément quelconque

Champ de déplacement à l'intérieur de l'élément
Evaluation des déformations
Où les matrices B sont calculées en tant que :
Les fonctions de forme dérivées dans les éléments de la matrice B sont calculées en tant que :

Contraintes (cas d'élasticité)
Où e o représente les déformations imposées (dilatation et contraction thermiques), et D une matrice constitutive. La matrice constitutive D (matériau linéairement élastique, isotrope) est présentée ci-dessous :