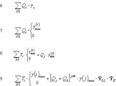
Charges d'exploitation

0

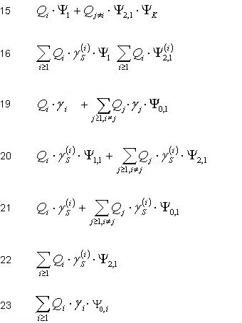
Aucune règle. Utilisé lorsqu’une règle dans la formule d’une combinaison d’un type de charge donné n’est pas définie.

La règle ne prend pas en compte les sous-natures.

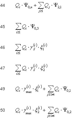
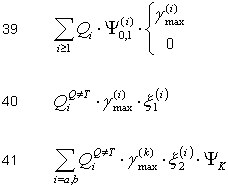
Remarque : La formule permet un facteur ψ 0,1 et un facteur ψ K pour toutes les sous-natures.
Remarque : La formule permet un facteur ψ 0,1 et un facteur ψ K pour toutes les sous-natures.
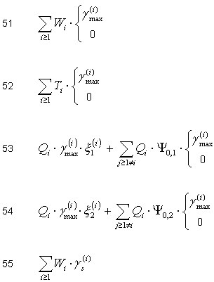
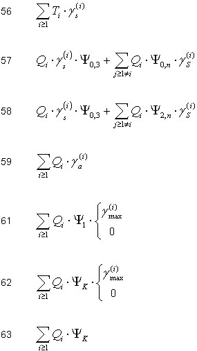
Remarque : La formule permet un facteur ψ 0,3 pour toutes les sous-natures.
Remarque : La formule permet un facteur ψ 0,3 et un facteur ψ K pour toutes les sous-natures.
Remarque : La formule permet un facteur ψ 0,1 et un facteur ψ K pour toutes les sous-natures.
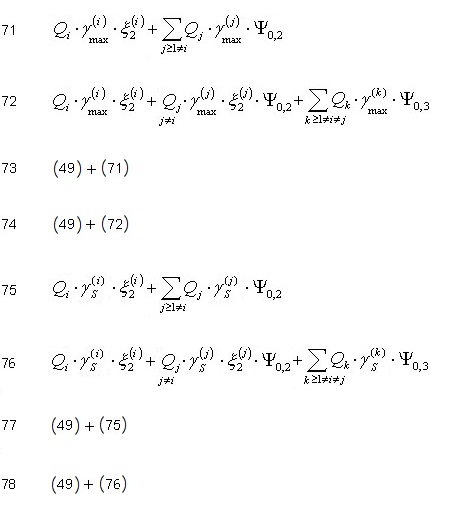
Remarque : La formule permet un facteur ψ0,2 et un facteur ψ 2,n pour toutes les sous-natures.
Remarque : La formule permet un facteur y 0,3 et un facteur ψ 0,2 pour toutes les sous-natures.
Remarque : La formule permet un facteur ψ 0,3 et un facteur ψ 0,2 pour toutes les sous-natures.
Remarque : La formule permet un facteur ψ 0,3 et un facteur ψ0,2 pour toutes les sous-natures.
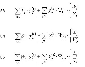
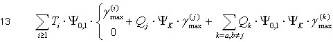
Remarque : La formule permet un facteur ψ K pour toutes les sous-natures.
Remarque : La formule permet un facteur ψ K pour toutes les sous-natures.
Remarque : La formule permet un facteur ψ K pour toutes les sous-natures.
Remarque : La formule permet un facteur ψ K pour toutes les sous-natures.
Remarque : La formule permet un facteur ψ pour toutes les sous-natures.
Remarque : La formule permet un facteur ψ pour toutes les sous-natures.
Remarque : La formule permet un facteur ψK pour toutes les sous-natures.
Remarque : La formule permet un facteur ψ K pour toutes les sous-natures.
Remarque : La formule permet un facteur ψK pour toutes les sous-natures.
Remarque : La formule permet un facteur ψK pour toutes les sous-natures.