Formule di calcolo di base per il freno

Parametri di input

Forza di input: F

Diametro esterno: D

Diametro interno: D 0 (solo per freni a cono e a disco)

Larghezza: b

Angolo del cono: β (solo per freni a cono)

Numero di freni (superfici freno): N

Pressione freno ( Max.): p (Max.)

Pressione freno - Velocità (max.): p.v (Max.)

Velocità iniziale: n 0

Velocità finale: n 1

Energia iniziale: E, vedere il capitolo Calcolo dell'energia

Parametri calcolati

Forza di attrito

per freni a nastro

 

F t = F (e fα - 1)

per altri

 

F t = F n f

dove:

  α Lunghezza per angolo
  f Fattore d'attrito
  F n Forza normale
  per freni a disco:
 

F n = F / sin (β)

  per altri:
 

F n = F

Calcolo del momento freno

T = 0,5 D e F t

dove:

 

D e

Diametro equivalente

   

per freni a cono e a disco

   
   

per altri D e = D

Calcolo della pressione

dove:

 

A = N b L

Superficie del freno

   

b

Larghezza

 
   

L = 0,5 D s α

Lunghezza

 
      α

angolo

     

D s

diametro medio, per freni a cono e a disco D s = 0.5 (D + D 0 )

       

per altri D s = D

Verifica indicativa del riscaldamento di un freno

p p (M ax. )

p v p v (M ax. )

dove:

 

v = π D n 0 / 60

Velocità circonferenziale iniziale

     

Calcolo del tempo freno

dove:

 

Momento di inerzia ridotto

 

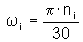
Velocità/rivoluzioni [rad/s]

Numero di rivoluzioni prima dell'arresto

Forza di output F0

solo per freni a nastro:

F 0 = F + F t = F e fα