Advanced Material Exchange で Moldflow モデルを使用するための要件を確認します。
| Moldflow | |
|---|---|
| サポート対象のバージョン | 2023 |
| メッシュ タイプ | 3D または Midplane の要素 |
| ジオメトリ | 単一の部品 |
| 以下を含む必要があります | 充填 + 保圧解析順序 |
Advanced Material Exchange は、Moldflow からの射出成形品と射出圧縮成形品の両方をサポートしています。
Moldflow スタディ ファイルを Advanced Material Exchange にインポートする場合、スタディ(*.sdy)ファイルによって参照される追加の Moldflow 結果ファイルが同じフォルダ内に存在する必要があります。ウェルド サーフェスの強度解析を含むモデルの場合、次の結果ファイルが必要です。
ウェルド サーフェスの強度解析を含まないモデルの場合、*.ws3 ファイルは必要ありません。
Moldflow ではいくつかの繊維配向予測モデルが提供されています。既定では、Moldflow 回転拡散(MRD)モデルが使用されます。MRD は Moldflow 2017 R2 以降で使用できるモデルであり、Advanced Material Exchange での使用をお勧めします。
Advanced Material Exchange は、充填プラスチックと非充填プラスチックの両方をサポートしています。フィラーのアスペクト比が 1 未満である充填プラスチックでは、材料の挙動は繊維の方向に大きく依存します。フィラーのアスペクト比が 1 に等しい場合(球)、材料は非充填とみなされます。例として、タルクまたはその他の無機フィラーがあります。Advanced Material Exchange はまた、複数のフィラー(2 番目のフィラーのアスペクト比は 1)を持つ材料もサポートしています。
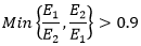
非充填材料はほとんど常に等方性があります。しかし、非充填材料の挙動に異方性が見られる場合もあります。次の条件が満たされると、Advanced Material Exchange は非充填材料を等方性とみなします。

ここで、E1 および E2 は、それぞれ 1 方向および 2 方向の弾性係数です。非充填材料がこの条件を満たしている場合、弾性係数およびポアソン比は次のように計算されます。

Advanced Material Exchange は、主に脆性の性質を持つ材料を扱うことを目的としています。一般に、脆性材料は小さいひずみで崩壊し、崩壊の際に目に見える兆候(ネッキング)を示しません。脆性材料は破損の前に引き続き材料の軟化を示すことがありますが、いったん破損が始まると直後に構造の壊滅的な破損が生じます。
延性材料は、大きく長い応力-ひずみ曲線(破損時に大きなひずみ)を示す材料です。次のプロットは延性材料の応答例です。

Advanced Material Exchange で使用される材料モデルは、比較的小さいひずみで破損が生じる材料の場合に最も適しています。延性の非常に大きい材料は、既存の材料モデルを使用しても適切に表現されません。Advanced Material Exchange では、材料特性の決定時に、極限応力を超える領域は考慮されません。前述のプロットでは、この領域を影付きの領域として示しています。
Advanced Material Exchange では、厚さの異なる複数のアクティブな断面または画層が含まれている Midplane モデルを Moldflow からインポートすることはできません。しかし、Moldflow の画層コントロールを使用すると、厚さの異なるモデルを扱うことができます。
この簡単な回避方法によって、スタディに大きな変更を加えずに、より複雑なモデルを Advanced Material Exchange にインポートできます。同じ処理を使用して、Advanced Material Exchange に必要のないランナーや冷却管を削除することができます。
また、単一の画層をオンにすることで、Advanced Material Exchange の自動位置合わせ機能がすべてのモデルで使用できるようになり、対話型の位置合わせツールを使用する必要がなくなるため便利です。