ウェルド サーフェスのデータを Moldflow モデルから構造モデルにマッピングするためのワークフローは、「マッピング結果」のトピックで説明しているワークフローと同じです。唯一の追加要件として、Advanced Material Exchange へのインポート時に .ws3 ファイルが .sdy ファイルと同じフォルダに存在する必要があります。インポート時に、Advanced Material Exchange は、ウェルド サーフェスのデータを読み込み、変換して、.sif ファイルに格納します。そのため、.ws3 ファイルが必要なのはインポート時のみで、構造解析時には不要になります。
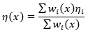
ウェルド サーフェスのデータの転送プロセスでは、強度低減係数のフィールドが、Moldflow の結果から構造モデル内の対応するガウス点にマッピングされます。既定では、最小投影メソッドで実現されます。最小投影アルゴリズムは、所定の構造要素に含まれるすべてのウェルド サーフェス ポイントを検索します。ポイントが見つかれば、その要素の最小の強度低減係数が、要素内のすべてのガウス点に適用されます。最小投影メソッドは、粗い構造メッシュがある場合に便利です。
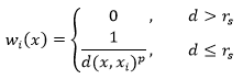
最小投影メソッドの代わりに、HIN ファイルでアクティブにすることで Shepard の逆距離加重アルゴリズムを使用することもできます(ウェルド サーフェスのマッピング)。Shepard のアルゴリズムは次のように定義されます。


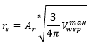
ここで、p は距離加重係数、rs は検索半径です。距離加重係数の既定は 1 ですが、HIN ファイルを使用して調整できます(ウェルド サーフェスのマッピング)。検索半径によって、点が対象領域の範囲外にある(ガウス点から大きく離れている)場合に、加重項 wi(x) が強制的にゼロになります。 検索半径は次の式で決定されます。

ここで、Vwspmax は、.ws3 ファイルに記録されているウェルド サーフェス上の任意の点の最大量です。Ar は、検索範囲を広げたり狭めたりするために使用できる乗数を表します。Ar の既定は 1 ですが、HIN ファイル内で調整できます(ウェルド サーフェスのマッピング)。
結果を構造モデルにマッピングした後([ホーム] > [マッピング] > [結果をマップ])、ウェルド サーフェスのビジュアライゼーションに切り替えます([ホーム] > [結果の表示] > [ウェルド サーフェス])。コンター プロットが構造モデル上に生成され、ウェルド サーフェスの強度低減係数が表示されます。強度低減係数の計算および使用方法の詳細については、「ウェルド サーフェスの強度」のトピックを参照してください。
構造モデルにウェルド サーフェスをマッピングする精度は、Moldflow メッシュとの関係で構造メッシュの正確性に依存します。変化する構造的なメッシュ密度のシンプルな ASTM 試験用断片モデルについては、次の例を検討してください。




構造モデルのメッシュを細分化すると、Moldflow モデルに表示されるように、ウェルド サーフェスの形になり始めるのが分かります。最適な方法として、構造メッシュ密度は Moldflow メッシュと同じか、またはより細かくすることをお勧めします。