ベルト ピッチの長さは、ベルトの歯数および円ピッチで決まります。ベルトの軌道は個々のプーリ位置に基づきます。各プーリのピッチ円直径は次で説明する式から求められます。プーリのスライド位置を調整し、標準ベルト長さ条件に合致するようにします。計算は解法を繰り返すことで行われ、プーリの望ましいスライド位置に最も近い、プーリの適切なスライド位置を求めます。
正確なピッチ円直径を求める
|
|
右回りまたは両面ベルトの歯付きプーリ |
|
|
|
|
|
右回りまたは両面ベルトの平プーリ |
|
D p = D + 2(a + h t ) |
|
|
|
左回りまたは片面ベルトの歯付きプーリ |
|
D p = D 0 + 2(H - a - h t ) |
|
|
|
左回りまたは片面ベルトの平プーリ |
|
D p = D + 2(H - a - h t ) |
2 つのプーリでの動力伝達の例
接触弧
ピッチ ベルト長さ
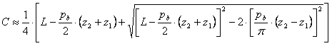
中心距離
次の式は新しい駆動の中心距離を求めるのにお勧めできます。
0.2 p b (z 1 + z 2 ) ≤ C ≤ 0.7 p b (z 1 = z 2 )
使用される変数の意味:
|
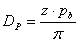
z |
指定プーリの歯数/ベルトの歯数[-] |
|
p b |
円ピッチ[m] |
|
D |
平プーリの呼び径[m] |
|
a |
ピッチ線オフセット[m] |
|
h t |
ベルトの歯高さ[m] |
|
D 0 |
歯付きプーリの外径[m] |
|
H |
ベルト高さ[m] |
|
C |
指定プーリと駆動プーリとの中心距離[m] |
| β |
接触弧[度] |