カスタム展開計算式を編集するには

カスタム計算式を指定することにより、曲げシート メタル パーツ モデル内の曲げゾーンを平坦化する割合を正確に指定できます。

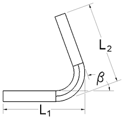
シート メタル パーツは、それぞれの曲げ状態や機能状態によって定義されますが、フラット シートから加工されます。フラット パターン形状に展開された曲げによって、曲げゾーン内の材料が変形します。変形量はいくつかの変数に依存します。折り曲げたモデルをフラット状態に変換する際には、以下の 3 つの方法のいずれかを使用して、この変形を説明する必要があります。

カスタム計算式は、[スタイルおよび規格エディタ]ダイアログ ボックスを使用して定義された、名前付き展開ルール内で定義されています。

曲げ補正タイプ

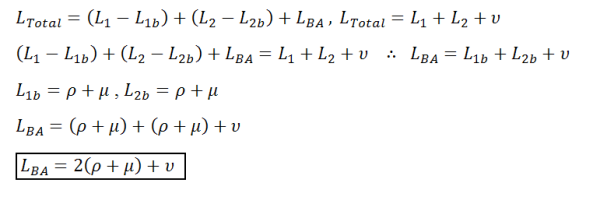
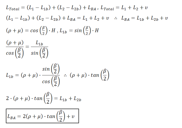
曲げ補正の計算式を使用して総展開長を求めます。

ここで
  • . 総展開長です。
  • . 最初の詳細面から仮想交点までの長さです。
  • . 2 つ目の詳細面から仮想交点までの長さです。
  • . 曲げ許容量計算の結果です。Inventor では曲げ許容量の計算に、次の計算式が使用されます。角度が の場合、Inventor は計算式 を使用します。ここで、
    • . 曲げ角度です。
    • . 曲げ許容量の長さです。
    • . 曲げプレート内側半径です。
    • . シートの厚さです。
    • . 曲げ許容量計算の結果です。

元の計算式を展開して、曲げ許容量計算を含めると、結果は次のようになります。

角度が の場合、次の計算式が使用されます。

元の計算式を展開して、曲げ許容量計算を含めると、結果は次のようになります。

曲げ許容量を求めた後、次の式を使用して K ファクターを導出することができます。

曲げ控除タイプ

曲げ控除計算式を使用して総展開長を求めます。

ここで
  • . 総展開長です。
  • . 最初の詳細面から仮想交点までの長さです。
  • . 2 つ目の詳細面から仮想交点までの長さです。
  • . 曲げ許容量計算の結果です。

曲げ控除計算式では、曲げ補正を使用する場合とは正反対の方法で計算が行われます。

曲げ控除に関する曲げ許容量の計算には、次の計算式が使用されます。

角度ケース:

計算式は、 です。ここで、
  • . 曲げ角度です。
  • . 曲げ許容量の長さです。
  • . 曲げプレート内側半径です。
  • . シートの厚さです。
  • . 曲げ許容量計算の結果です。

角度が の場合、計算式 が使用されます。

曲げ許容量タイプ

曲げ許容量計算式 を使用して総展開長さを求めます。
  • . 総展開長です。
  • . 最初の曲げプレートの長さです。
  • . 2 つ目の曲げプレートの長さです。
  • . 曲げ許容量計算の結果です。

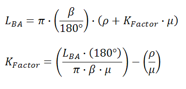
定義済み計算式によって、曲げ許容量を直接に解析することができます。K ファクターは、次の計算式から導出できます。

K ファクター タイプ

K ファクター方法を使って総展開長を求めるには、次の計算式を使用します。

ここで
  • . 総展開長です。
  • . 最初の曲げプレートの長さです。
  • . 2 つ目の曲げプレートの長さです。
  • . 曲げ許容量計算の結果です。

曲げ許容量は次の計算式により求められます。

カスタム展開計算式を編集する

名前付き展開ルールを編集する際は、4 種類のカスタム計算式を定義することができます。

[スタイルおよび規格エディタ]で選択した計算式タイプにより、計算式の左辺を定義する変数が決まります。[計算式編集]ダイアログ ボックスの文字挿入キーを使うと、角度、半径、厚さ、およびπをワン クリックで挿入できます。

[計算式エディタ]ダイアログ ボックスを開く前に、[スタイルおよび規格エディタ]ダイアログ ボックスで選択した[計算式タイプ]ごとに変数タイプを定義しておきます。

  1. [スタイルおよび規格エディタ]ダイアログ ボックスで、選択した展開方法が[カスタム計算式]の場合、カスタム計算式を定義する境界条件の左側にある[カスタム計算式]セルをダブルクリックします。
  2. [計算式編集]ダイアログ ボックスで、計算式入力ボックス以外に表示される変数を定義する計算式を入力します。
    • . 計測された角度変数をカスタム展開計算式に挿入します。
    • . 計測された内側半径変数をカスタム展開計算式に挿入します。
    • . 計測された厚さ変数をカスタム展開計算式に挿入します。
    • . πの算術値をカスタム展開計算式に挿入します。
    • 計算式入力フィールドにキーボードから入力して、カスタム展開計算式を定義します。
  3. (任意)カスタム計算式で解析される変数のタイプを変更するには、[スタイルおよび規格エディタ]ダイアログ ボックスで[キャンセル]をクリックしてから、適正な計算式タイプを選択します。

カスタム展開計算式の境界条件を編集する

[境界編集]ダイアログボックスで境界条件を指定して、角度、半径、または厚さの範囲に関する展開計算式を定義することができます。

  1. [スタイルおよび規格エディタ]ダイアログ ボックスで、展開方法として[カスタム計算式]を選択した場合は、境界条件を定義するカスタム計算式の右側にある[境界条件]セルをダブルクリックします。
  2. [境界編集]ダイアログ ボックスで、ドロップダウン リストの上部の行から等価演算子および範囲タイプを選択して、角度、厚さ、または半径の範囲を指定する式を作成します。
  3. 下部の行にある左右のボックスに、境界条件範囲の値を入力します。