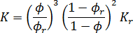
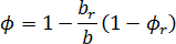
プリフォームの空隙率と浸透率モデル

繊維マットの空隙率と浸透率は、リアクティブ成形解析における充填パターンに影響を与えます。

プリフォームの空隙率は、次の方程式で表されます。 ここで、

プリフォームの浸透率は、次の方程式で表されます。 ここで、 は浸透率です。