STRESS (Element Stress Output Request)

Description

The STRESS Case Control command requests element strain output.

Format

STRESS

Example

STRESS

Remarks

  1. ELSTRESS is an alternate form and is identical to STRESS.
  2. Stresses are written at a single point for each element for solid elements. The top and bottom stress values are written for shell elements. Stresses are written for a single point for each ply for composite shell elements.
  3. This command will output all stress tensor components, the von Mises stress, and pressure for all elements.
  4. The invariant quantities, von Mises stress and pressure, are defined as follows:
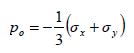
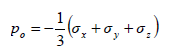
    For solid elements, the mean pressure is defined as:
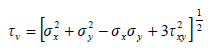
    For solid elements, the von Mises equivalent stress is defined as:
    Shell elements are defined by a state of plane stress. The mean pressure is:
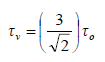
    The von Mises stress for shell elements is: