Długość podziału pasa jest określona przez liczbę zębów pasa i podział obwodowy. Trajektoria pasa jest oparta o indywidualne położenie koła pasowego. Średnica podziałowa każdego koła pasowego jest określana na podstawie następujących równań. Pozycja przesuwnego koła pasowego jest dostosowana tak, aby spełnić standardowe kryteria długości pasa. Obliczenia wykorzystują rozwiązanie iteracji, aby znaleźć odpowiednie położenie pasowego koła przesuwnego najbliższe wymaganej pozycji koła przesuwnego.
Określanie dokładnej średnicy podziałowej
|
|
Koło synchroniczne zgodnie z ruchem wskazówek zegara lub dwustronny pas |
|
|
|
|
|
Koło synchroniczne zgodnie z ruchem wskazówek zegara lub dwustronny pas |
|
D p = D + 2(a + h t ) |
|
|
|
Koło synchroniczne przeciwnie do ruchu wskazówek zegara i jednostronny pas |
|
D p = D 0 + 2(H - a - h t ) |
|
|
|
Płaskie koło pasowe przeciwnie do ruchu wskazówek zegara i jednostronny pas |
|
D p = D + 2(H - a - h t ) |
Przykład przenoszenia mocy z dwoma kołami pasowymi
Łuk opasania
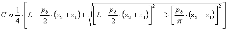
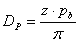
Długość podziału pasa
Odległość osi
Następujący wzór jest zalecany przy określaniu odległości osi nowego napędu
0,2 p b (z 1 + z 2 ) ≤ C ≤ 0,7 p b (z 1 = z 2 )
Znaczenie użytych zmiennych:
|
z |
Liczba zębów danego koła pasowego / Liczba zębów pasa [-] |
|
p b |
Podział obwodowy [m] |
|
D |
Nominalna średnica płaskiego koła pasowego [m] |
|
a |
Odsunięcie linii podziału [m] |
|
h t |
Wysokość zęba pasa [m] |
|
D 0 |
Średnica zewnętrznego koła synchronicznego [m] |
|
H |
Wysokość pasa [m] |
|
C |
Odległość osi danego koła i koła napędzającego [m] |
| β |
Łuk opasania [stopnie] |