|
|
Dla każdego koła pasowego |
|
F 2 - F 1 + F p = 0 |
|
|
|
|
|
|
|
|
|
Dla napędzającego koła pasowego
|
|
v ≤ v max |
|
|
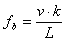
f b ≤ f maks. |
F c = mv 2
F Tmax = k 1 F p + F c
F 1 = F tmax
F 2 = F 1 - F p
Dla indywidualnych napędzających kół pasowych i pośrednich
i-indeks koła pasowego
F Pi = P xi F p
F 1i = F 2i-1
F 2i = F 1i + F p i
gdzie:
dla koła synchronicznego
dla koła płaskiego
Dla całego napędu pasowego
Wymagane rozciągnięcie przy zakładaniu pasa jest określane przez siły koła pasowego w następujący sposób
Przykład przełożenia mocy z kołem pośrednim
|
Napędzające koło pasowe |
Płaskie koło pośrednie |
Napędzające koło pasowe |
|
P x1 = 1 |
P x2 = 0 |
P x3 = 1 |
|
|
|
F P3 = P x3 F p |
|
|
|
|
|
|
|
|
|
|
F 12 = F 21 |
|
|
|
F 22 = F 12 + F p2 = F 12 |
|
|
F c = m v 2 |
|
|
|
F Tmax = k 1 F p + F C |
- |
F 13 = F 22 |
|
F 11 = F Tmax |
- |
F 23 = F 13 + F p3 = F 11 |
|
F 21 = F 11 - F p |
- |
|
|
|
- |
- |
Znaczenie użytych zmiennych:
|
F p |
Efektywny naciąg [N] |
|
F 1 |
Rozciągnięcie pasa po stronie wejściowej danego koła pasowego [N] |
|
F 2 |
Rozciągnięcie pasa po stronie wyjściowej danego koła pasowego [N] |
|
z |
Liczba zębów danego koła pasowego / Liczba zębów pasa [-] |
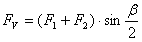
| β |
Łuk opasania / kąt nachylenia boku zęba [stopnie] |
|
P |
moc do przekazania [W] |
|
P R |
Moc znamionowa pasa dla danego układu transmisji pasa [W] |
|
c L |
Współczynnik eksploatacyjny [-] |
| β |
Łuk opasania [stopnie] |
|
T |
Moment obrotowy działający na danym kole pasowym [Nm] |
|
n |
Prędkość danego napędzanego koła pasowego [rpm] |
|
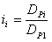
D p |
Podział średnicy koła pasowego [m] |
|
v |
Prędkość pasa [m/s] |
|
k |
Liczba kół cięgnowych w przełożeniu pasa [-] |
|
L |
Długość podziału pasa [m] |
|
P |
moc do przekazania [W] |
|
m |
Ciężar właściwy pasa dla danej szerokości [Kg/m] |
|
k 1 |
Współczynnik rozciągliwości pasa [-] |
|
F p |
Efektywne rozciągnięcie [N] |
|
F c |
Siła odśrodkowa [N] |
|
F t |
Minimalne rozciągnięcie pasa przy zakładaniu [N] |
|
P xi |
Współczynnik mocy danego koła pasowego [-] |
|
D pi |
Podział średnicy koła pasowego [m] |
|
i |
Przełożenie (współczynnik prędkości) danego koła pasowego [-] |
|
T i |
Moment obrotowy działający na danym kole pasowym [Nm] |
| η |
Sprawność [-] |
|
p b |
Podział obwodowy [m] |
|
D |
Nominalna średnica płaskiego koła pasowego [m] |
|
H |
Wysokość pasa [m] |
|
h T |
Wysokość zęba pasa [m] |
|
a |
Odsunięcie linii podziału [m] |