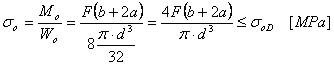
Naprężenie zginające

Nacisk w cięgle
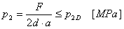
Nacisk w sworzniu
Naprężenie ścinające
gdzie:
|
F |
siła [N] |
|
|
σ 0 |
naprężenie zginające [MPa] |
|
|
σ 0D |
dopuszczalne naprężenie zginające [MPa] |
|
|
M 0 |
moment zginający [N mm] |
|
|
W 0 |
moduł przekroju zgięcia [mm 3 ] |
|
| τ |
naprężenie ścinające [MPa] |
|
|
τ D |
dopuszczalne naprężenie ścinające [MPa] |
|
|
d |
średnica sworznia [mm] |
|
|
p 1 |
nacisk w cięgle [MPa] |
|
|
p 2 |
nacisk w sworzniu [MPa] |
|
|
p 1D |
dopuszczalny nacisk w cięgle [MPa] |
|
|
p 2D |
dopuszczalny nacisk w sworzniu [MPa] |
|
|
b |
szerokość cięgła [mm] |
|
|
a |
szerokość ramienia sworznia [mm] |