Obliczenia zbrojenia belki—ściany — zasady

Metoda obliczania belek—ścian jest oparta na następujących przedstawionych zasadach, jak zdefiniowano w dodatku E5 do francuskiej normy BAEL 91.

Następujące definicje symboli zostały przyjęte w opisie metody obliczania powierzchni zbrojenia dla belek—ścian:

lt

Długość belki—ściany w osiach podpór.

lo

Długość belki—ściany na licu podpór.

l

Obliczenie długości belki—ściany = min (lt; 1,15lo).

h

Wysokość belki—ściany.

bo

Szerokość belki—ściany.

z

Ramię sił wewnętrznych.

p

Obciążenie jednorodne, uwzględniające współczynniki obciążenia dla obciążenia stałego i zmiennego.

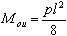
Moment pochodzący z obciążenia"p".

Siła ścinająca pochodząca z operacji obciążenia"p".

Naprężenie ścinające jest równe:

Patrz także

Minimalna grubość belki—ściany.

Obliczenia zbrojenia.