Siły przekrojowe w tabeli

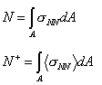
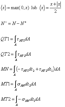
Zastępcze siły wypadkowe dostępne w tabeli wyników liczone są według poniższych wzorów:

<…>— (nawiasy Macauleya) lub operator części dodatniej wyrażony jako: