Nośność gruntu jest podstawowym stanem granicznym projektu fundamentu, dlatego nie można wyłączyć tego ustawienia podczas wymiarowania ani analizy fundamentu. Analiza tego stanu polega na porównaniu wartości maksymalnej siły lub naprężenia wynikającego z obciążeń zewnętrznych z wartościami dopuszczalnymi. Wartości dopuszczalne są definiowane przez użytkownika lub obliczane na podstawie parametrów gruntu.
W przypadku obliczania wartości istnieje możliwość analizy warstwowej gruntu. Wartości dopuszczalne naprężeń zdefiniowane przez użytkownika są porównywane z wartościami dotyczącymi warstw znajdujących się bezpośrednio pod podstawą fundamentu.
Nośność gruntu zdefiniowaną przez użytkownika porównuje się z:
Obliczenia dla poszczególnych norm
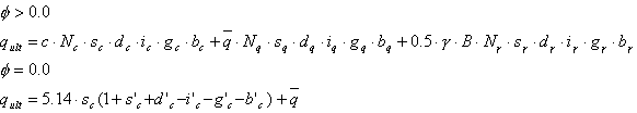
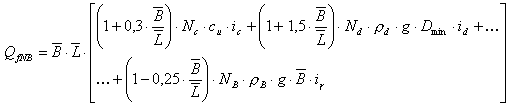
W badaniach przedstawiono kilka podstawowych metod obliczania nośności gruntu. W obliczeniach tych metod obliczane są dopuszczalne naprężenia w gruncie lub odpowiadająca im siła dopuszczalna. Chronologicznie te metody to: Terzagiego (1943), Meyerhofa (1963), Hansena (1970) i Versića (1973, 1975). W badaniach wykorzystano metodę Hansena wraz z dotyczącymi jej wytycznymi. Podstawowy wzór na nośność gruntu wg Hansena:

Ograniczono go do przypadków analizowanych w module stopy fundamentowej. Przyjęto współczynniki odpowiedzialne za pochylenie stopy b i nachylenie naziomu g równe 1,0.
Ponieważ w module nie jest możliwe użycie gruntów o kącie tarcia f = 0,0 stopni, stosuje się jedynie pierwszy z wzorów Hansena. Końcowy wzór obliczania naprężeń dopuszczalnych dla ACI \ BS 8004:1986 \ CSA to:
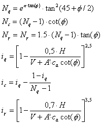
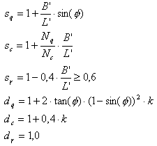
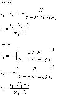
gdzie odpowiednie współczynniki wynoszą:

przy czym powierzchnia efektywna A' = B' * L'.

gdzie:

Obliczona wartość qult podzielona przez współczynnik bezpieczeństwa SF=3,0 jest porównywana z maksymalnym średnim naprężeniem w gruncie, uwzględnionym w SGU:
Dla francuskich norm dostępne są następujące metody obliczeń nośności gruntu:
Laboratoryjna
Obliczenia dla obu norm są wykonywane zgodnie z punktem 3.21 normy DTU 13.12 (Fascicule nie podaje wytycznych dotyczących metody laboratoryjnej).
Ogólny warunek nośności jest wyrażony w następujący sposób:
.
Zakłada się, że qref oznacza największe średnie naprężenie występujące pod fundamentem w SGN, natomiast gg jest współczynnikiem równym 2 dla kombinacji SGN i 1,5 dla kombinacji SGN z obciążeniami wiatrem.
Obliczenia nośności przebiegają w następujący sposób:
.
Współczynniki nośności dla obciążeń niewymiarowych wynoszą:
.
Współczynniki kształtu niewymiarowego są równe:
.
Współczynniki niewymiarowe pochylenia obciążenia wywołanego siłą poziomą H są równe:
.
Presjometryczna pełna
Obliczenia są oparte na krzywej zdefiniowanej przez użytkownika w wyniku badań presjometrycznych w miejscu. Typ gruntu jest ważnym parametrem na poziomie odniesienia fundamentu. Typ gruntu określa współczynniki używane do obliczeń nośności. Wartości te są ustalane na podstawie załącznika E.1 do Fascicule 62 Titre V
Ogólny warunek nośności można wyrazić w następujący sposób.
(analogicznie do metody laboratoryjnej).
Obliczenia wartości nośności qu są wykonywane na podstawie punktu 3.22 normy w następujący sposób:
.
Wartości te są przyjmowane zgodnie z normą, a p le * jest zastępczym naprężeniem granicznym obliczonym według wzoru:
gdzie B jest wymiarem fundamentu w rozważanym kierunku.
Głębokość fundamentu jest przyjmowana jako minimalna głębokość fundamentu Dmin pomniejszona o głębokość d (pominiętą część głębokości fundamentu).
Ogólny warunek nośności można wyrazić w następujący sposób:
.
Wszystkie wartości we wzorze powyżej są przyjmowane według wzoru i na podstawie punktu B.3.1,1 oraz załączników B.1, E.2, F.1.
Presjometryczna naprężeniowa
Nośność gruntu w tej metodzie jest przyjmowana na podstawie wartości zdefiniowanej przez użytkownika. Zdefiniowana przez użytkownika dopuszczalna (charakterystyczna) wartość qu, SGN lub SGU, jest zawsze zamieniana na wartość charakterystyczną qu, a następnie na podstawie tej wartości obliczana jest wartość naprężenia granicznego qlim zgodnie ze wzorami:
DTU 13.12
Fascicule 62 Titre 62
.
W razie wybrania opcji rektyfikacji zostanie przeprowadzona rektyfikacja wartości określonej przez użytkownika z uwzględnieniem geometrii i obciążeń. Wartość zdefiniowana przez użytkownika jest traktowana jako nośność qu dla fundamentu z wymiarami jednostkowymi (A=B=1 m) podlegająca tylko obciążeniom pionowym przy głębokości fundamentu (Dmin - d). Uwzględniane są rzeczywiste wymiary fundamentu, takie jak wpływ obciążeń poziomych i momentów (mimośrodów). Jest to odzwierciedlone w obliczeniach współczynników kp, idb. Typ gruntu jest ważnym parametrem na poziomie odniesienia fundamentu. Typ gruntu określa współczynniki używane do obliczeń nośności i jest ustalany na podstawie załącznika E.1 do Fascicule 62 Titre V
Analiza nośności gruntu jest oparta na punktach 6.5.1, 6.5.2 i załączniku B do normy EC 7. Ogólny warunek nośności V d < Rd można uściślić, wprowadzając współczynnik bezpieczeństwa większy niż 1,0 w oknie dialogowym Opcje geotechniczne na karcie Ogólne.
Obliczanie wartości nośności przebiega w następujący sposób.
Współczynniki bezwymiarowe nośności wynoszą:
.
Współczynniki bezwymiarowe kształtu wynoszą:
.
Współczynniki bezwymiarowe pochylenia obciążenia wynikające z siły poziomej H równoległej do odpowiednio dłuższych i krótszych boków wynoszą:
.
Współczynniki głębokości fundamentu wynoszą:

gdzie:
.
.
Współczynnik bezwymiarowy kształtu wynosi:
sc = 1,2 + 0,2 * ( B' / L' ).
Współczynnik bezwymiarowy pochylenia obciążenia wynikający z siły poziomej H wynosi:
Uwaga: stosowany jest tutaj parametr gruntu: Spójność bez drenażu — c u.
Analiza nośności gruntu jest oparta na punktach 6.5.2.1, 6.5.2.2 i załączniku D do normy EC 7. Ogólny warunek nośności V d < Rd jest mnożony przez współczynnik g R w zależności od podejścia obliczeniowego. Ten współczynnik można zmodyfikować w preferencjach zadania. Obliczenia wartości nośności są wykonywane w następujący sposób:
Obliczanie wartości nośności przebiega w następujący sposób.
Współczynniki bezwymiarowe nośności wynoszą:
.
Współczynniki bezwymiarowe kształtu wynoszą:
.
Współczynniki bezwymiarowe pochylenia obciążenia wynikające z siły poziomej H równoległej do odpowiednio dłuższych i krótszych boków wynoszą:

Współczynniki głębokości fundamentu wynoszą:

gdzie:
.
.
Współczynnik bezwymiarowy kształtu wynosi:
sc = 1,2 + 0,2 * ( B' / L' ).
Współczynnik bezwymiarowy pochylenia obciążenia wynikający z siły poziomej H wynosi:
Uwaga: stosowany jest tutaj parametr gruntu: Spójność bez drenażu — c u .
Współczynniki częściowe dla EN 1997-1-1:2004 (EC 7)
W przypadku normy EN 1997-1-1:2004 istnieje możliwość zmiany współczynników częściowych dla zestawów R (parcie i nośność) i M (parametry gruntu) 2.4.7.3.4.
Domyślne wartości parametrów można znaleźć w preferencjach zadania.
Zestawy (dla działań lub ich skutków) współczynników częściowych są dostępne w przepisach dotyczących kombinacji norm geotechnicznych (EC7_2004_geo.rgl).
Analiza nośności gruntu jest oparta na punkcie 3.3.3 i załączniku 1. Ogólny warunek nośności:
można uściślić, wprowadzając współczynnik bezpieczeństwa większy niż 1,0 w oknie dialogowym Opcje geotechniczne na karcie Ogólne.
Obliczenia wartości nośności przebiegają następująco (Z1-2):
.
Współczynniki bezwymiarowe nośności wynoszą:
.
Współczynniki bezwymiarowe i są wyznaczane na podstawie nomogramów normowych (rys. Z1-2).
Analiza nośności gruntu jest oparta na punkcie 2.58 -2. Ogólny warunek nośności (11) jest następujący:
gdzie:
γ c — współczynnik warunków pracy
γ n — współczynnik niezawodności uwzględniający przeznaczenie budowli
Oba współczynniki modyfikuje się w oknie dialogowym Opcje geotechniczne za pomocą wzoru przedstawionego tutaj:
.
W wyniku wymiarowania uzyskuje się współczynnik niezawodności konstrukcji, który jest równy:
.
Obliczenia wartości nośności przebiegają następująco (16):
.
Współczynniki bezwymiarowe nośności N są obliczane zgodnie z tabelą 7 normy. Przeprowadzana jest interpolacja liniowa między wartościami. Współczynniki bezwymiarowe kształtu x są obliczane w następujący sposób (17):
.