W trakcie wymiarowania słupa żelbetowego poddanego mimośrodowemu ściskaniu sprawdzane są niezależnie trzy przekroje na wysokości słupa: górny, dolny oraz położony w części środkowej (dokładne położenie tego przekroju jest określone najczęściej poprzez moment środkowy według wytycznych poszczególnych norm).
W zależności od zaleceń normowych położenie przekroju oraz to, czy słup jest przesuwny, czy nieprzesuwny, warunkuje, czy w danym przekroju uwzględniony zostanie wpływ efektów drugiego rzędu (oczywiście, jeśli smukłość słupa przekracza normową wartość graniczną).
Najczęściej przyjętym schematem dla większości norm żelbetowych jest:
Wyjątek stanowi np. norma brytyjska BS, w której wpływ smukłości jest uwzględniana również na końcach słupa o węzłach nieprzesuwnych. W normach ACI i CSA natomiast, dla konstrukcji o węzłach przesuwnych, może wystąpić dodatkowe zwiększenie wpływu smukłości dla przekroju środkowego.
Dla tak rozumianych trzech przekrojów przeprowadzane jest obliczenie zbrojenia. Zbrojenie obliczane jest w procesie iteracyjnym; liczba iteracji jest zwiększana do momentu, aż przyjęte zostanie zbrojenie zapewniające spełnienie nośności we wszystkich trzech przekrojach słupa dla każdej z kombinacji.
Kombinacja wymiarująca rozumiana jest jako zestaw kombinacji obciążeń wraz z położeniem przekroju, dla której to pary występuje największe wytężenie.
Trzem przekrojom poddanym wymiarowaniu odpowiadają trzy zestawy sił (tj. siły osiowej, momentów i ew. sił poprzecznych) dla każdej kombinacji w tabeli definicji obciążeń.
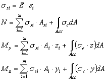
Obliczanie nośności słupa dla dwukierunkowego zginania przebiega zgodnie ze schematem:


gdzie: Acc jest polem powierzchni części ściskanej (zgodnie z wykresem rozkładu s), E jest modułem Younga.
Na rysunku przedstawiony jest prostokątny wykres naprężeń. Dla niektórych norm występuje wykres paraboliczno—prostokątny.
Wyjątek stanowi metoda normowa dostępna dla polskiej normy PN—B—03264 (2002).
Zwiększanie zbrojenia aż do uzyskania nośności (algorytm optymalizacji) przebiega według następującego schematu: