Teoria elementu cięgnowego stosowanego w programie Robot jest oparta na ogólnej teorii wiotkiego cięgna rozciągliwego o małym zwisie. Zgodnie z tą teorią sztywność cięgna jest uwikłaną funkcją następujących parametrów: sztywności na rozciąganie (E*F), naciągu cięgna, przemieszczeń jego podpór, obciążenia poprzecznego w obu kierunkach (p y , p z ).
Należy zwrócić uwagę, że zdefiniowanie kabli w konstrukcji ze względu na nieliniowy charakter ich pracy powoduje konieczność wykorzystywania iteracyjnych metod analizy konstrukcji.
Możliwości stosowania cięgien w programie Robot:
Ograniczenia:
Obciążenia cięgien
Do elementów kablowych można przykładać następujące rodzaje obciążeń:
Nie są dozwolone następujące rodzaje obciążenia elementów kablowych:
SKŁADNIA (dane wpisywane przez użytkownika w pliku tekstowym)
CHArakterystyki
(<lista elementów>) kabli AX= <Powierzchnia przekroju> (E= <moduł Younga>)
Szerokość (RO= <jednostki>) [naprężenie = <Y>|siła = <h>|długość = <M>
| [ DILatation = <D> (względne) ]]
gdzie:
NAPrężenie — naprężenie normalne (liczone w odniesieniu do cięciwy cięgna), które ma być osiągnięte dla obciążeń przypadku montażowego.
SIŁa — siła naciągu (liczona w odniesieniu do cięciwy cięgna), która ma być osiągnięta dla obciążeń przypadku montażowego.
DŁUgość — długość cięgna w stanie nieobciążonym.
DYLatacja — różnica długości cięgna w stanie nieobciążonym i odległości węzłów pomiędzy którymi cięgno jest zamocowane (jeśli jest to wartość dodatnia, to długość cięgna jest większa od odległości między węzłami, a jeśli ujemna, to odległość między węzłami jest większa od długości cięgna)
DYLatacja WZGlędna — stosunek różnicy długości cięgna w stanie nieobciążonym i odległości węzłów pomiędzy którymi cięgno jest zamocowane do odległości węzłów pomiędzy którymi cięgno jest zamocowane (jeśli jest to wartość dodatnia, to długość cięgna jest większa od odległości między węzłami, a jeśli ujemna, to odległość między węzłami jest większa od długości cięgna).
Program Robot posiada funkcję projektowania montażowego konstrukcji. Zalecane jest, jest to pierwszy Przypadek obciążenia. Poniżej podano składnię tego przypadku obciążenia:
PRZypadek
MONtaż
[opis obciążeń]
Dla tego przypadku obciążenia:
NAPrężenie = s0 (wstępne naprężenie kabla) lub
SIŁa = t0 (wstępna siła naciągu w kablu),
Podczas analizy kolejnych przypadków obciążenia konstrukcji w warunkach równowagi uwzględniane są obciążenia przyłożone w przypadku montażowym. Przemieszczenia wyznaczone dla tego przypadku traktowane są jako wyjściowe. Siły naciągu, które wstępnie zostały zdefiniowane, ulegają zmianie (oznacza to, że po montażu cięgna zostają zakotwione).
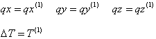
W tym etapie równanie (1) opisuje przejście od:
q0x = q0y = q0z = 0 (brak obciążenia)
H0 = 0 (brak naciągnięcia kabla)
T0 = 0
dla którego długość jest równa L1= :
|
1. |
long, gdy (long ≠ 0) – ma to miejsce, jeżeli w definicji cięgna podawana jest wartość DŁUgości |
|
2. |
[odległość (A, B) + dylatacja], gdy dylatację definiujemy w układzie absolutnym — ma to miejsce, jeżeli w definicji cięgna podawana jest wartość DYLatacji |
|
3. |
[odległość (A, B)*(1+dylatacja)], gdy dylatację podajemy w układzie relatywnym — ma to miejsce, jeżeli w definicji cięgna podawana jest wartość DYLatacji WZGlędnej |
|
4. |
[odległość (A, B)], gdy (dylatacja = 0) i (long = 0) — ma to miejsce, jeżeli w definicji cięgna nie wystąpiło żadne z wymienionych słów kluczowych: DŁUgość, DYLatacja i DYLatacja WZGlędna lub występuje jedno ze słów kluczowych: SIŁa lub NAPrężenie. |
aby

L2 jest odległością pomiędzy węzłami zamocowania A i B odkształconego cięgna:
L2 = odległość (A+U A , B+U B ),
gdzie:
U A — przesunięcie punktu A
U B — przesunięcie punktu B.
Możliwe są różne przypadki pierwszego, montażowego przypadku obciążenia:
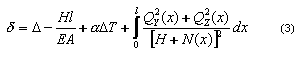
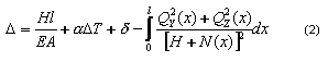
Z równania (1) otrzymujemy:
Wartość l przyjmowana jest jako odległość początkowego i końcowego węzła cięgna.
Z równania (2) możemy wyznaczyć wstępne wydłużenie cięgna d potrzebne do uzyskania wymaganej siły H:
to rozwiązując równanie (4) ze względu na siłę H
i iterując cały układ równań otrzymujemy końcową wartość siły montażowej.
Końcowa wartość siły będzie równa:
.
L2 = odległość (A, B),
rozwiązując równanie (4) otrzymujemy wstępną wartość siły potrzebną do zakotwienia kabla pomiędzy podporami.
Po zakończeniu obliczeń konstrukcji wyniki otrzymywane dla elementów kablowych są podobne do tych uzyskiwanych dla elementów prętowych; istnieją jednak różnice pomiędzy tymi dwoma typami wyników. Poniżej omówiono te różnice:
Takie wyniki są przydatne podczas projektowania zespołu. Są dostępne w module Wyniki poprzez wybranie polecenia Naprężenia > Parametry > Wyniki dla elementów kablowych na etapie montażowym.
gdzie:
N — siła działająca wzdłuż stycznej do cięgna
FX, FY, FZ — siły składowe siły N zrzutowane na kierunki poszczególnych osi lokalnego układu współrzędnych cięgna.
W przypadku dowolnego przypadek (i) są definiowane po pierwszym tworzeniu przypadku kabli zachowanie uzyskuje się przez zakończenie równanie (1). Iteracja takie równanie jest uruchamiane zgodnie z następujące założenia:
Obciążenie z pierwszego przypadku obciążenia jest automatycznie dodawane do obciążenia w przypadku (i)
Siła naciągu H jest niewiadomą.
Patrz również:
Uwagi praktyczne dotyczące obliczania konstrukcji cięgnowych