Obliczanie zarysowania dla normy włoskiej MINISTERO DEI LAVORI PUBBLICI DECRETO 14 GENNAIO 2008:
Wymagania szczegółowe na podstawie punktu B.6.6.3 są następujące:
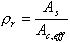
.
gdzie:
c — Otulina zbrojenia.
s — rozstaw prętów ≤ 14φ.
k 2 — Współczynnik:
k 2 = 0,4 dla prętów żebrowanych.
k 2 = 0,8 dla prętów gładkich.
k 3 — Współczynnik:
k 3 = 0,125 dla zginania i zginania ze ściskaniem.
k 3 = 0.250 dla czystego rozciągania.
k 3 = 0.25 * (σ1 + σ2) /2 σ1 dla czystego rozciągania.
A c, eff = b eff * h eff
Dla przekrojów całkowicie rozciąganych b eff ≤ 40 cm i h eff ≤ 40 cm.
Dla płyt zginanych h eff ≤ (h * x) / 2, gdzie x jest wysokością strefy ściskanej.
c — otulina zbrojenia ≤ 7,5φ
s — rozstaw prętów
Jeśli s < 14φ:
b eff = B — szerokość przekroju.
h eff = c + 7.5φ.
jeśli s > 14φ: obliczenia osobno dla każdego pręta:
beff = (14 + 1)φ — Dla płyt i wewnętrznych prętów belek.
beff = c + 7.5φ — Dla prętów narożnych.
heff = c + 7.5φ.
Ac,eff = Σ (b eff * h eff ).

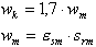
σ s — naprężenie w zbrojeniu rozciąganym dla przekroju przez rysę.
σ sr — naprężenie w zbrojeniu rozciąganym, dla którego skrajne włókna betonu osiągają naprężenia równe f ctm . W obliczeniach tych w charakterystykach przekroju nie jest uwzględniana stal zbrojeniowa.
β 1 — Współczynnik:
β 1 = 1.0 dla prętów żebrowanych.
β 1 = 0,5 dla prętów gładkich.
β 2 — Współczynnik:
β 2 = 1,0 dla jednokrotnego obciążenia krótkotrwałego.
β2 = 0,5 dla obciążeń długotrwałych lub obciążeń wielokrotnie powtarzalnych.