Uma análise de deslizamento poderá ser necessária se houver uma grande participação de forças horizontais que atuem em uma fundação em comparação com as verticais. Tal situação resulta em possíveis danos ao solo causados pelo deslizamento da sapata da fundação no solo ou deslizamento entre as camadas de solos quando as camadas de posição inferior são mais fracas do que as que estão em contato direto com a sapata.
Para evitar a perda de estabilidade do deslizamento, as soluções a seguir são recomendadas.
Durante a análise de deslizamento, observe que a coesão do solo diretamente adjacente a uma fundação pode ser alterada durante os trabalhos de preparação ou devido à localização variável do nível de água. Nesses casos, deve ser reduzido o valor da coesão do solo.
Para todos as normasc (exceto ACI, CSA, DTU 13.12 e Fascicule 62 – Titre V), é possível selecionar a opção Deslizamento com pressão do solo considerada. A pressão do solo Pa e a pressão passiva Pp serão calculadas adicionalmente.

A altura do modelo de pressão é igual às distâncias a seguir.
A pressão passiva é calculada de acordo com a fórmula a seguir.
que para a segunda camada é entendida como
.
A pressão passiva total do solo é a seguinte.
Se o aterro for carregado, o termo a seguir deverá ser levado em conta nos cálculos.
A carga q deve ser constante e é multiplicada pelo fator de majoração. O algoritmo para o cálculo de Pa é idêntico ao de P p .
É possível definir uma carga que atua em um quarto especificado de uma sapata distribuída. A pressão do solo que atua de um determinado lado será calculada proporcionalmente ao comprimento de um quarto selecionado.

O deslizamento com a pressão do solo considerada pode ser calculado para ambas as direções simultaneamente ou para cada uma separadamente. É selecionado na lista para as direções X e Y, para a direção X ou para a direção Y.
Cálculos para normas individuais
O projeto de deslizamento não está disponível para essas normas. Se necessário, verifique esse valor manualmente.
A condição geral de estabilidade de deslizamento é apresentada da forma a seguir.
H ≤ H ATRITO
em que:
H ATRITO = V * tg(φ) + c * Ac
V – força vertical
j – ângulo de atrito interno do solo
c – coesão
Ac – área de contato fundação-solo.
O projeto deste estado limite resulta no fator de segurança de uma estrutura: H ATRITO/H. O valor é maior ou igual a 1,0.
As opções na caixa de diálogo Opções geotécnicas permitem a análise desse estado limite, bem como a determinação do valor limite do fator.
A condição geral de estabilidade de deslizamento é apresentada da forma a seguir.
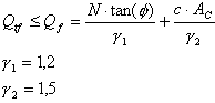
Qtf ≤ Qf = N * tg(ϕ) + c*Ac
em que:
Qtf – força horizontal
N – força vertical
ϕ – ângulo de atrito interno do solo, presumindo que o valor adotado de tg(ϕ) não seja maior que 0,5
c – coesão do solo (embora não superior a 75 kPa)
Ac – área de contato fundação-solo.
Quando ocorre um impacto sísmico, a coesão do solo é desconsiderada (de acordo com estudos), resultando na redução da fórmula de deslizamento para a forma a seguir.
Durante a análise de deslizamento entre a fundação e o concreto magro (não conectado à fundação por meio da armadura de barra de cavilha), o coeficiente de atrito concreto – concreto magro é introduzido, com valor igual a 0,75.
Se as barras de cavilha garantirem uma conexão permanente entre a fundação e o concreto magro, essa condição não será verificada.
O projeto para esse estado limite resulta na obtenção do fator de segurança de uma estrutura: Qtf/Qf. O valor é maior ou igual a 1,0.
A ativação da análise desse estado limite, bem como a determinação do valor limite do fator, são opções ativadas na caixa de diálogo Opções geotécnicas.
A análise de deslizamento é executada de acordo com o ponto 6.5.3.
Como a norma EC7 não exclui a contabilização da coesão do solo na análise do deslizamento 6.5.3 (8), existe a possibilidade de aplicar a coesão do solo parcial ou completamente estendendo a fórmula com uma peça adicional para a coesão reduzida.
em que:
o coeficiente j incluído no intervalo <0,0, 1,0> pode ser definido na caixa de diálogo Opções geotécnicas.
A' –rea de trabalho da fundação (área de contato fundação-solo).
c' – Valor de projeto da coesão efetiva do solo.
Se o coeficiente 0,0 for introduzido, essa fórmula assumirá a forma exata especificada na norma (6.3).
Sd = A' * cu.
Se a área de trabalho não for igual à área da fundação (ocorre um levantamento), a seguinte condição (6.5) será verificada:
Sd < 0,4 Vd.
A análise de deslizamento é executada de acordo com o ponto 6.5.3.
A condição geral é descrita pela fórmula (6.2):
Hd ≤ Rd + Rp;d
Rd = V'd * tgδ d
Com base no ponto A.2(2), que se refere ao coeficiente γ φ , assumiu-se que o valor de cálculo do coeficiente de atrito é equivalente a:
O parâmetro tan d, que é um coeficiente de atrito característico de solo-fundação, é uma propriedade do solo salva na base do solo denominada Coeficiente de atrito.
O parâmetro tan d é considerado para a fundação formada diretamente no solo, de acordo com o banco de dados do solo, no qual deve ser definido, de acordo com a norma na base do ângulo de atrito em condição crítica de ponto de injeção tan δ = tan φ cv 6.5.3 (10) i A.2(2). Após a opção Fundação pré-moldada suave 6.5.3(10) ser ativada na caixa de diálogo Opções geotécnicas, de acordo com 6.5.3 (10) e A.2(2), o valor do coeficiente é calculado da seguinte maneira:
A norma EC7 não recomenda considerar a coesão do solo na análise de deslizamento 6.5.3 (10), embora o programa permita essa possibilidade. O uso parcial ou completo da coesão é possível inserindo um elemento adicional na fórmula (6.3a):
Rd = V'd * tgδ d + ξ * A c * c u
em que:
o coeficiente incluído no intervalo <0,0, 1,0> pode ser definido na caixa de diálogo Opções geotécnicas
A' – área de trabalho da fundação (área de contato fundação-solo)
c' – Valor de projeto da coesão efetiva do solo
Valor padrão do coeficiente de redução ξ = 0,0.
Rd = A c * c u;d
Se a área de trabalho não for igual à área da fundação (ocorre um levantamento), a seguinte condição (6.5) será verificada:
Rd < 0,4 Vd.
A condição geral de estabilidade de deslizamento é apresentada da forma a seguir.

em que:
Qtf – Força horizontal.
N –Força vertical.
φ – Ângulo de atrito interno do solo.
c –Coesão do solo (embora não superior a 75 kPa).
Ac – Área de contato fundação-solo.
Se ocorrer um impacto sísmico, a coesão do solo será desconsiderada (de acordo com estudos), resultando na redução da fórmula de deslizamento para a forma a seguir.
Durante a análise de deslizamento entre a fundação e o concreto magro (não conectado à fundação por meio da armadura de barra de cavilha), o coeficiente de atrito concreto – concreto magro é introduzido, com valor igual a 0,75.
Se as barras de cavilha garantirem uma conexão permanente entre a fundação e o concreto magro, essa condição não será verificada.
O projeto para esse estado limite resulta na obtenção do fator de segurança de uma estrutura: Qtf/Qf. O valor é maior ou igual a 1,0.
A ativação da análise desse estado limite, bem como a determinação do valor limite do fator, são opções ativadas na caixa de diálogo Opções geotécnicas.
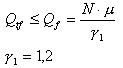
A condição para o deslizamento da fundação não é fornecida diretamente na norma PN-81/B-03020 [A3]. Os itens a seguir se referem diretamente à norma PN-83/B-03010 [A4]. A condição geral de estabilidade de deslizamento de acordo com essa norma e estudos é apresentada da forma a seguir.
para a camada posicionada abaixo do nível de contato:
em que:
F r – Valor de projeto de uma força de deslocamento.
N – Valor do projeto de uma força vertical no nível de referência.
A'c – Área reduzida da base da fundação.
ϕ –Valor do projeto do ângulo de atrito interno do solo.
Ac – Área de contato fundação-solo (área reduzida da base da fundação).
μ – Coeficiente de atrito de solo/fundação.
c t – Valor reduzido de coesão = (0,2 a 0,5) * cu.
c u – Valor de projeto da coesão do solo.
m – Fator de correção.
Como resultado do projeto deste estado limite, o seguinte fator de segurança de uma estrutura é obtido:
A ativação da análise desse estado limite, bem como a determinação do valor limite do fator, são opções ativadas na caixa de diálogo Opções geotécnicas.
A condição geral de estabilidade de deslizamento é apresentada da forma a seguir.
em que:
H –Força horizontal.
γc – Coeficiente de ambiente.
γn –Fator de confiabilidade que considera o uso para o qual uma estrutura é projetada.
V – Força vertical.
φ – Ângulo de atrito interno do solo.
c – Coesão do solo.
Ac – Área de contato fundação-solo.
Como resultado do projeto deste estado limite, o seguinte fator de segurança de uma estrutura é obtido:
A ativação da análise desse estado limite, bem como a determinação do valor limite do fator, são opções ativadas na caixa de diálogo Opções geotécnicas.