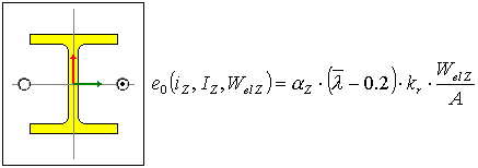
Para a norma: EC3 (ENV 1993-1-:1992), a deflexão inicial é calculada com base na seguinte fórmula:

Cálculo da deflexão ao longo do eixo Z (flambagem – eixo Y-Y):

Cálculo da deflexão ao longo do eixo Y (flambagem – eixo Z-Z):

Em que:
A – área da seção transversal (A = SX)

a – tabelas 5.5.3 e 5.5.1 do Eurocódigo 3
– esbeltez reduzida, fórmula 5.5.1.2 (5.46) do Eurocódigo

Devido à complexidade dos cálculos, foi considerado que:

Re [Pa] – limite de elasticidade de um material
l = l / i
Em que:
l = L * coeficiente do comprimento de flambagem
L – comprimento do membro

tabela 5.5.1
O valor ks é fornecido na tabela 5.5.1 em dependência de gM1; os valores fornecidos nessa tabela para gM1 = 1,1 são sempre usados nos cálculos:
Para a norma (EN 1993-1:2005) – método tabular, a deflexão inicial é calculada de acordo com a tabela 5.1, artigo 5.3.2 (3b). Um valor de deflexão depende do comprimento do membro e do tipo de análise selecionada: elástica ou plástica.