Cálculo de fissuras para a norma italiana MINISTERO DEI LAVORI PUBLISHI DECRETO 14 GENNAIO 2008:
Os requisitos detalhados de acordo com o ponto B.6.6.3 são os seguintes:
.
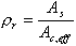
em que:
c – Cobertura da armadura.
s – Espaçamento da barra ≤ 14φ.
k 2 – Coeficiente:
k 2 = 0,4 para barras nervuradas.
k 2 = 0,8 para barras simples.
k 3 – Coeficiente:
k 3 = 0,125 para flexão e flexão com compressão.
k 3 = 0,250 para tensão simples.
k 3 = 0,25 * (σ1 + σ2) / 2 σ1 para tensão simples.
A c,eff = b eff * h eff
Para seções inteiramente em tensão b eff ≤ 40 cm e h eff ≤ 40 cm.
Para lajes em flexão h eff ≤ (h * x) / 2, em que x é a altura da zona em compressão.
c – Cobertura da armadura ≤ 7,5φ
s – Espaçamento da barra
se s < 14φ:
b eff = B – largura da seção.
h eff = c + 7,5φ.
se s > 14φ: cálculos para cada barra individualmente.
beff = (14 + 1)φ – Para lajes e barras internas de vigas.
beff = c + 7,5φ – Para barras de canto.
heff = c + 7,5φ.
Ac,eff = Σ (b eff * h eff ).

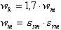
σ s – Tensão na armadura tensionada para a seção por meio de uma fissura.
σ sr – Tensão na armadura tensionada para a qual as fibras de concreto mais externas alcançam o nível de tensão igual a f ctm . Esses cálculos não levam em conta o aço de armadura nas propriedades da seção.
β 1 – Coeficiente:
β 1 = 1,0 para barras nervuradas.
β 1 = 0,5 para barras simples.
β 2 – Coeficiente:
β 2 = 1,0 para uma única carga de curto prazo.
β2 = 0,5 para cargas de longo prazo ou cargas que se repetem muitas vezes.