Базовый геометрический расчет конической зубчатой передачи

Входные параметры

Тип зубчатого колеса–в соответствии с положением ножки зуба и конической головки

Передаточное отношение и число зубьев

Угол зацепления (угол профиля зуба) α t

Угол наклона зуба β m

Угол по оси Σ

Тангенциальный модуль на внешнем конусе, met (для расчета в метрических единицах)

Тангенциальный диаметральный шаг на наружном конусе Pet (для британских единиц)

Прим.: Модуль и диаметральный шаг являются обратными величинами.

Коэффициент высоты головки зуба компонента ha *

Зазор компонента c *

Скругление ножки зуба компонента r f *

Ширина зубчатого венца b 1 , b 2

Коэффициент смещения x = x 1 = - x 2

Изменение единицы толщины зуба x t = x t1 = - x t2

Вспомогательные геометрические расчеты

Распределение коэффициентов смещения для одиночных зубчатых колес

Подбор в соответствии с расчетом прочности

Подбор ширины зубчатого венца

Расчет максимального углового шва для высоты ножки зуба

Расчетные параметры

 

Нормальный угол зубчатого зацепления в средней плоскости

 

tg α nm = tg α t cos β m

Угол начального конуса

 

Наружный делительный диаметр

 

d e1,2 = m et z 1,2

Наружная длина линии поверхности на начальном конусе

 

Длина линии поверхности на среднем конусе

 

R m = R e - 0,5 b

Относительная ширина зубчатого венца

 

Тангенциальный модуль на среднем конусе

 

Нормальный модуль на среднем конусе

 

m mn = m mt cos β m

Средний делительный диаметр

 

d m1,2 = m mt z 1,2

Эквивалентное число зубьев

 

Эквивалентный диаметр делительной окружности

 

Эквивалентный базовый диаметр

 

d vb1,2 = d v1,2 cos α t

Эквивалентный наружный диаметр

 

d va1,2 = d v1,2 + 2 h ae1,2 m mt / m et

Эквивалентное межосевое расстояние

 

a v = 0,5 (d v1 + d v2 )

Эквивалентное передаточное отношение

 

Эквивалентное число зубьев

 

Эквивалентный делительный диаметр

 

Эквивалентный основной диаметр

 

d bn1,2 = d n1,2 cos α t

Виртуальный наружный диаметр

 

d an1,2 = d n1,2 + 2 h ae1,2 m mt / m et

Эквивалентный угол наклона зуба на основном цилиндре

 

sin β b = sin β m cos α nm

Эквивалентное межосевое расстояние

 

a n = 0,5 (d n1 + d n2 )

Уменьшение высоты ножки зуба

 

k 1,2 = 0,02 (17 - z n1,2 )

для k > 0 уменьшение высоты ножки зуба выполнено

Коэффициент высоты головки зуба

 

h ae1,2 = m et (h a * + x 1,2 - k 1,2 )

Ножка зуба

 

hf e1,2 = m et (h a * + c * 1,2 )

Наружный диаметр

 

d ae1,2 = d e1,2 + 2ha e1,2 cos δ 1,2

Диаметр впадин

 

d fe1,2 = d e1,2 - 2 hfe1,2 cos δ 1,2 )

Наружный диаметр малого торца

 

d ai1,2 = d ae1,2 (1 - φ R )

Расстояние до вершины

 

A 1,2 = R e cos δ 1,2 - h ae1,2 sin δ 1,2

Наружный угол скоса

 

Угол подрезания

 

Толщина зуба (обычно измеряется по диаметру шага)

 

Хордальная ширина зубчатого венца (обычная)

 

s ke1,2 = s e1,2 cos 2 α t

Высота головки зуба над хордой

 

Ширина головки зуба компонента (измеряется обычно)

 

 

Где:

 
   

Рабочий захват зубчатых колес

 

b w = b

Коэффициент продолжительности зацепления

 

ε = ε + ε

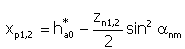
Минимальная коррекция без заострения

 

 

Где:

   

h a0 * = h a * + c * - r f * (1 - sin α t )

Минимальная коррекция без выреза

 

Минимальная коррекция без выреза

 

Угол наклона зуба у торца

 

sinβ e = sinβ m R m /R e

Нормальный угол зубчатого зацепления у торца

 

tanα ne = tanα t cosβe