Редактирование пользовательских формул развертки

Используйте пользовательские формулы, чтобы задать точный порядок разворачивания областей сгибов в свернутых моделях деталей из листового металла.

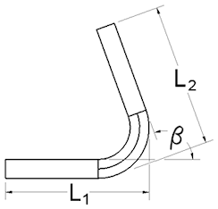
Детали из листового металла определяются в сложенном виде или по функциональному состоянию, однако они изготавливаются из плоского листа. Сгибы, которые разворачиваются при формировании развертки, деформируют материал в области сгиба. Величина деформации зависит от нескольких переменных. Трансформация сложенной модели в развернутое состояние требует проведения расчета такой деформации одним из трех методов:

Пользовательские формулы определяются в именованных правилах развертки, которые создаются с помощью диалогового окна "Редактор стилей и стандартов".

Коррекция сгиба

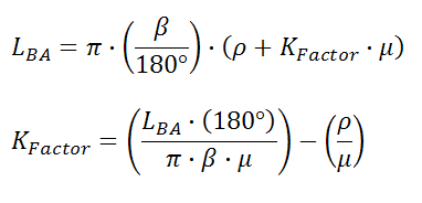
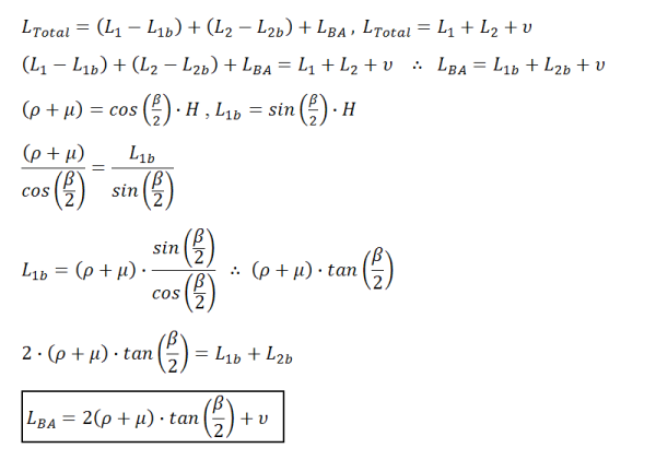
Используется формула коррекции сгиба, что позволяет определить общую развернутую длину:

Где:
  • . — общая длина развертки;
  • . — длина от первой грани детали до виртуального заострения;
  • . — длина от второй грани детали до виртуального заострения;
  • . — результат вычисления коэффициента расчета развертки. Вычисление поправки на сгиб в Inventor выполняется с использованием следующих уравнений: В случаях с углами, где , в Autodesk Inventor используется формула , где:
    • . — угол загиба;
    • . — длина коэффициента расчета развертки;
    • . — внутренний радиус сгиба пластины;
    • . — толщина листа;
    • . — результат вычисления коэффициента расчета развертки.

Дополните исходное уравнение, включив в него результаты вычисления поправки на сгиб.

В случаях с углами, где , используется следующая формула:

Дополните исходное уравнение, включив в него результаты вычисления поправки на сгиб:

После определения коэффициента расчета развертки можно вывести коэффициент поправки с помощью:

Уменьшение сгиба

Используется формула уменьшения сгиба, что позволяет определить общую развернутую длину:

Где:
  • . — общая длина развертки;
  • . — длина от первой грани детали до виртуального заострения;
  • . — длина от второй грани детали до виртуального заострения;
  • . — результат вычисления коэффициента расчета развертки.

Формула уменьшения сгиба предоставляет метод расчета, прямо противоположный методу компенсации сгиба.

При использовании метода уменьшения сгиба Inventor вычисляет поправку на сгиб с использованием следующих уравнений.

В случаях углов:

формулой будет , где:
  • . — угол загиба;
  • . — длина коэффициента расчета развертки;
  • . — внутренний радиус сгиба пластины;
  • . — толщина листа;
  • . — результат вычисления коэффициента расчета развертки.

В случаях с углами, где , используется следующая формула:

Поправка на сгиб

Используется формула коэффициента расчета развертки для определения общей развернутой длины, где
  • . — общая длина развертки;
  • . — длина первой пластины сгиба;
  • . — длина второй пластины сгиба;
  • . — результат вычисления коэффициента расчета развертки.

Определенное уравнение передается для нахождения непосредственно поправки на сгиб. Коэффициент поправки на изгиб может быть выведен из следующего уравнения:

Коэффициент поправки на изгиб

Для определения общей развернутой длины с использованием метода поправки на изгиб применяется следующее уравнение:

Где:
  • . — общая длина развертки;
  • . — длина первой пластины сгиба;
  • . — длина второй пластины сгиба;
  • . — результат вычисления коэффициента расчета развертки.

Поправка на изгиб вычисляется с помощью следующих выражений:

Редактирование пользовательских формул развертки

При редактировании именованного правила развертки можно определить пользовательские формулы четырех типов.

Тип формулы, выбранный в диалоговом окне "Редактор стилей и стандартов", определяет переменную, которая задает левую часть формулы. Клавиши вставки символов в диалоговом окне редактирования формулы предоставляют возможность одним нажатием вставлять значения углов, радиусов, толщины и константы Пи.

Тип переменной определяется типом формулы, который выбирается в диалоговом окне "Редактор стилей и стандартов" перед вызовом диалогового окна "Редактор формул".

  1. В диалоговом окне "Редактор стилей и стандартов", где в качестве способа развертки выбрана пользовательская формула, дважды щелкните ячейку пользовательской формулы, расположенную слева от граничного условия, для которого требуется определить пользовательскую формулу.
  2. В диалоговом окне "Редактирование формулы" введите формулу для определения переменной, отображаемой за границами поля ввода формулы:
    • . Вставка переменной измеренного угла в пользовательскую формулу развертки.
    • . Вставка переменной измеренного внутреннего радиуса в пользовательскую формулу развертки.
    • . Вставка переменной измеренной толщины в пользовательскую формулу развертки.
    • . Вставка математического значения Пи в пользовательскую формулу развертки.
    • При определении пользовательской формулы развертки данные в поле формулы вводятся с клавиатуры.
  3. (Необязательно) Чтобы изменить тип переменной, которая рассчитывается с помощью пользовательской формулы, нажмите кнопку "Отмена" и в диалоговом окне "Редактор стилей и стандартов" выберите подходящий тип формулы.

Редактирование граничных условий пользовательской формулы развертки

Можно указывать формулы развертки для диапазона углов, радиусов или толщины, задавая граничные условия в диалоговом окне "Редактирование границ".

  1. Если пользовательская формула представляет собой метод развертки, выбранный в диалоговом окне "Редактор стилей и стандартов", справа от пользовательской формулы, для которой необходимо определить граничные условия, дважды щелкните ячейку граничных условий.
  2. Чтобы создать формулу, которая определяет диапазоны угла, толщины или радиуса, в верхней строке раскрывающихся списков в диалоговом окне "Редактирование границ" выберите операторы равенства и тип диапазона.
  3. В нижних строках в полях с левой и правой сторон введите значения пределов граничных условий.