Горизонтальная арматура

Система армирования разделена на две функциональные зоны:

Нижняя зона;

Арматура принадлежащая этой группе распределяется непосредственно поверх рабочей арматуры в следующей области.

0,4h, если h ≤ l

0,4*l если h > l

Если нижняя рабочая арматура распределенная в зоне на высоте = 0,15*h или 0,15 * l, то, досягаемость горизонтальной арматуры ограничена сверху и равна 0,55 * h или 0,55 * l.

Условные обозначения:

Ahi - поперечное сечение горизонтальной арматуры в слоях;

shi - пролет арматуры.

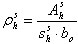
Процент горизонтальной арматуры равен:

.

Кроме того, необходимо проверить следующие условия:

Верхняя зона;

Арматура этой зоны распределяется по всей длине пролета, если выполняется следующее:

Условные обозначения:

Ahs - поперечное сечение горизонтальной арматуры в слоях;

shs - пролет армаруры.

Процент горизонтальной арматуры равен:

В случае, когда h > L, применяется равномерно распределенная арматура в зоне между L и 1,5 * L. Процент этой арматуры должен быть меньше максимального (0,5 * rhs; rhs (min)).