Распределение усилий и напряжений в сварном шве

Распределение усилий вследствие нагрузки, действующей параллельно поясу

Распределение усилий в сварных швах вследствие нагрузки, действующей перпендикулярно поясу

Распределение напряжений в продольных швах

Распределение напряжений в поперечных швах

Формулы для расчета отдельных составляющих напряжения

Формуля для равнодействующих напряжений в сварных швах (продольная 1, продольная 2, внутренняя поперечная 3, внешняя поперечная 4)

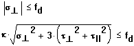
Условие прочности:

Еврокод:

PN: