Несущая способность грунта — это основное предельное состояние проекта фундамента, поэтому его нельзя отключить в процессе проектирования или анализа фундамента. Анализ этого состояния заключается в сравнении максимального значения усилия или напряжения, возникающего в результате внешних нагрузок, с допустимыми значениями. Допустимые значения определяются пользователем или рассчитываются на основе параметров грунта.
При расчете значений можно выполнять анализ многослойного грунта. Пользовательские значения допустимых напряжений сравниваются со значениями напряжений непосредственно под основанием фундамента.
Пользовательская несущая способность грунта сравнивается со следующими значениями.
Расчет по отдельным нормам
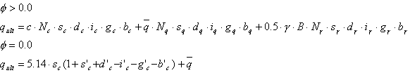
В исследованиях представлено несколько основных методов расчета несущей способности грунта. Расчеты, выполняемые с помощью этих методов, позволяют определить допустимые напряжения в грунте или соответствующее им допустимое усилие. Хронологически к ним относятся методы Терзаги (1943 г.), Мейерхофа (1963 г.), Хансена (1970 г.), Версича (1973 г., 1975 г.). Метод Хансена используется вместе с рекомендациями, представленными в исследованиях. Основная формула для несущей способности в соответствии с данным методом представлена ниже.

Она была ограничена ситуациями, анализируемыми в модуле отдельного фундамента. Предполагается использование коэффициентов, отвечающих за наклон основания (b) и откос засыпки (g), равные 1,0.
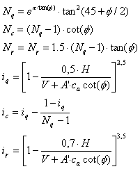
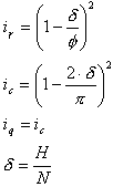
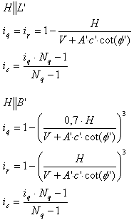
Так как в модуле не допускается использование грунтов с углом трения φ = 0,0 градусов, то применяются только первые формулы по методу Хансена. Окончательная формула для расчета допустимых напряжений для ACI\BS 8004:1986\CSA имеет следующий вид:
Где соответствующие коэффициенты имеют значение:

А эффективная площадь A' = B' * L'.

Где:

Расчетное значение qult, деленное на запас прочности SF = 3,0, сравнивается с максимальным средним напряжением в грунте, возникающим в ПС2:
Для французских норм доступны следующие методы расчета несущей способности грунта.
Лабораторный
Расчеты для обоих норм выполняются в соответствии с разделом 3.21 в DTU 13.12 (в Fascicule нет рекомендаций относительно лабораторного метода).
Условие общей несущей способности выражается следующим образом:
.
Это предполагает, что qref обозначает наибольшее среднее напряжение, возникающее под фундаментом в ПС1, а gg — коэффициент со значением 2 для сочетания ПС1 и 1,5 для сочетания ПС1 c ветровыми нагрузками.
Расчет несущей способности выполняется следующим образом:
.
Безразмерные коэффициенты несущей способности имеют следующие значения:
.
Безразмерные коэффициенты формы имеют следующие значения:
.
Безразмерные коэффициенты угла наклона нагрузки, вызванной горизонтальным усилием H, имеют следующие значения:
.
Полный прессиометрический
Расчеты основываются на пользовательской кривой, созданной в результате прессиометрического исследования на площадке. Тип грунта является важным параметром на связанном уровне фундамента. Тип грунта определяет коэффициенты, используемые при расчете несущей способности, и принимаются на основе приложения E.1 к Fascicule 62 Titre V.
Условие общей несущей способности может быть выражено следующим образом.
(аналогично лабораторному методу)
Расчеты значения несущей способности qu выполняются на основе раздела 3.22 норм следующим образом:
Они принимаются в соответствии с нормами, а p le * представляет собой эквивалентное предельное напряжение, рассчитанное по формуле:
где B — это размер фундамента в рассматриваемом направлении.
Глубина фундамента принимается как минимальная глубина фундамента Dmin за вычетом глубины d (не учитываемая часть глубины фундамента).
Условие общей несущей способности может быть выражено следующим образом:
Все значения в приведенной выше формуле принимаются по формуле, основанной на разделе B.3.1,1, а также на дополнениях B.1, E.2, F.1.
Прессиометрическое напряжение
Несущая способность грунта по данному методу принимается на основе заданного пользователем значения. Заданное пользователем допустимое (нормативное) значение qu, ПС1 или ПС2, всегда преобразуется в нормативное значение qu, а затем на основе этого значения рассчитывается предельное значение напряжения qlim по следующим формулам:
DTU 13.12
Fascicule 62 Titre 62
Если выбрано исправление, то выполняется исправление пользовательского значения с учетом геометрии и нагрузок. Заданное пользователем значение рассматривается как несущая способность фундамента с единичными размерами (A = B = 1 м), который подвергается только вертикальным нагрузкам, с глубиной фундамента (Dmin – d). Учитываются реальные размеры фундамента, такие как влияние горизонтальных нагрузок и моментов (эксцентриситетов). Это отражается в расчетах коэффициентов kp, idb. Тип грунта является важным параметром на связанном уровне фундамента. Тип грунта определяет коэффициенты, используемые при расчете несущей способности, и принимается на основе приложения E.1 к Fascicule 62 Titre V
Анализ несущей способности грунта основан на пп. 6.5.1, 6.5.2 и Приложении B к нормам EC 7. Условие общей несущей способности V d < Rd можно сделать более строгим благодаря введению запаса прочности больше 1,0 в диалоговом окне «Геотехнические опции» на вкладке «Общие».
Расчет значения несущей способности выполняется следующим образом.
Безразмерные коэффициенты несущей способности равны:
Безразмерные коэффициенты формы равны:
Безразмерные коэффициенты угла наклона нагрузки, возникающие от горизонтального усилия H, параллельной длинной и короткой сторонам соответственно, равны:
Коэффициенты глубины фундамента равны:

Где:
Безразмерный коэффициент формы равен:
sc = 1,2 + 0,2 * (B' / L')
Безразмерный коэффициент угла наклона нагрузки от горизонтального усилия H равен:
Следует отметить, что для параметра грунта «Сцепление без дренажа» здесь применяется значение c u.
Анализ несущей способности грунта основан на пп. 6.5.2.1, 6.5.2.2 и Приложении D к нормам EC 7. Условие общей несущей способности V d < Rd умножается на коэффициент g R в зависимости от метода расчета. Коэффициент можно изменить в разделе «Рабочие настройки». Расчет значения несущей способности выполняется следующим образом.
Расчет значения несущей способности выполняется следующим образом.
Безразмерные коэффициенты несущей способности равны:
Безразмерные коэффициенты формы равны:
Безразмерные коэффициенты угла наклона нагрузки, возникающие от горизонтального усилия H, параллельной длинной и короткой сторонам соответственно, равны:

Коэффициенты глубины фундамента равны:

Где:
Безразмерный коэффициент формы равен:
sc = 1,2 + 0,2 * (B' / L')
Безразмерный коэффициент угла наклона нагрузки от горизонтального усилия H равен:
Следует отметить, что для параметра грунта «Сцепление без дренажа» здесь применяется значение c u .
Частичные коэффициенты для EN 1997-1-1:2004 (EC 7)
Для норм EN 1997-1-1:2004 имеется возможность изменять частичные коэффициенты для наборов R (давление и сопротивление) и M (параметры грунта) 2.4.7.3.4.
Значения параметров по умолчанию можно найти в разделе «Рабочие настройки».
Наборы А (для действий или их воздействий) частичных коэффициентов доступны в правилах для сочетаний геотехнических норм (EC7_2004_geo.rgl).
Анализ несущей способности грунта основан на п. 3.3.3, Приложение 1. Условие общей несущей способности:
можно сделать более строгим благодаря введению запаса прочности больше 1,0 в диалоговом окне «Геотехнические опции» на вкладке «Общие».
Расчет значения несущей способности выполняется следующим образом (Z1-2):
Безразмерные коэффициенты несущей способности равны:
Безразмерные коэффициенты i определяются на основе номограмм в нормах (рис. Z1-2).
Анализ несущей способности грунта основан на п. 2.58-2. Условие общей несущей способности (11):
Где:
γ c — коэффициент окружающей среды;
γ n — коэффициент надежности, учитывающий вариант использования, для которого предназначена конструкция.
Оба коэффициента изменяются в диалоговом окне «Геотехнические опции» по формуле, которая там представлена.
В результате проектирования получается коэффициент надежности конструкции, который равен:
Расчет несущей способности выполняется следующим образом (16):
Безразмерные коэффициенты несущей способности N рассчитываются согласно таблице 7 норм. Выполняется линейная интерполяция между значениями. Безразмерные коэффициенты формы x рассчитываются следующим образом (17):