Статические силы в модальном расчете. Описание и пример

Статические силы, приложенные к конструкции, влияют на частоту колебаний конструкции. Используемый обычно модальный расчет (определяющий колебания конструкции) не распознает влияния статических сил. Для аппроксимации реальных условий, в которых работает конструкция, программа Robot может выполнять вычисления, используя Модальный анализ, распознающий приложенные статические силы.

Расчеты колебаний конструкции с распознаванием действия статических сил выполняются в два этапа: Эти расчеты основаны на взаимосвязи между напряжением и деформацией под влиянием заданной статической нагрузки.

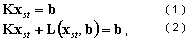
Первый этап: Линейный.

где

Xst - Неизвестный вектор статическое состояние

b – вектор заданной статической нагрузки (вектор статической нагрузки),

K — матрица жесткости

L (xst, b) - нелинейных оператор.

Вектор статической нагрузки b может быть простым нагружением или комбинацией заданных нагружений.

Второй этап: Модальный анализ (нелинейный).

, ( 2a )

где

Ks - матрица жесткости, создаваемая на основе напряжений в статическом состоянии.

M – матрица масс.

ωи2 - собственное значение (ωI = пульсация).

Φ - собственный вектор.

Для решения нелинейной статической задачи (модальной) используются те же методы, что и для нелинейного статического расчета. Для линейного статического задачи, имеет место следующее соотношение: , где G - геометрическая матрица жесткости.

Положительные значения ωII > 0) описывают устойчивые состояния равновесия, в то время как отрицательные значения (ωI < 0) соответствуют нестабильному состоянию равновесия. В свою очередь, нулевое значение (ωI = 0) указывает на отсутствие устойчивости (изгиб).

Если матрица K + Ks (xst) перестает быть положительно определенной, это означает, что статическая нагрузка приближается к критическому значению (продольному изгибу). Во время анализа нелинейной статической задачи (модальной) сходимость не достигается. Если выбирается линейный метод (этап Статического анализа) и матрица не определяется как положительная (в этом случае появляется предупреждение), то рекомендуется прекратить процесс вычисления, так как дальнейшие вычисления не имеют смысла.

Прим.: Если конструкция содержит вантовые элементы или элементы, работающие на сжатие-растяжение, программа предоставляет возможность рассчитывать такие конструкции только нелинейным методом.

Пример:

Рассмотрим пример конструкции, показанной на рисунке ниже. N относится к статической нагрузке.

Ниже приведена формула, описывающая поведение приведенной выше конструкции.

, ( 3 )

где

w –перемещения в результате изгиба,

ρ - Плотность материала,

F – площадь поперечного сечения.

Для решения этой задачи перемещение представляется в виде:

( 4 )

Введя выражение ( 4 ) в формулу ( 3 ), получим:

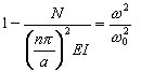
, ( 5 )

где

- критическая нагрузка,

ω02 - собственное значение при N=0 (результат правильного модального расчета).

После преобразования последней формулы получаем:

, ( 6 )

где ω2 - собственное значение, полученное для конструкции, с подверженной статической нагрузкой N.

Результат произведенных расчетов представлен графически на рисунке ниже.

В заключение следует отметить, что для реальной конструкции корреляция w = w(b) выполняется несколько сложнее, чем это представлено в формуле ( 6 ).