Christensen 准则

Christensen 准则 [17] 利用复合材料的以下六个基础强度来标识两个不同的失效模式。

两个失效模式为:基体失效和纤维失效。

= 纵向拉伸失效下的值 σ11

= 纵向压缩失效下的值 σ11

= 横向拉伸失效下的值 σ22

= 横向压缩失效下的值 σ22

= 纵向剪切失效下 σ12 的绝对值

= 横向剪切失效下 σ23 的绝对值

基体失效准则为

其中横向剪切强度 S23 必须满足

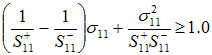
纤维失效准则为