LaRC02 准则 [55] 标识单向复合材料中的纤维失效和基体开裂。
纤维失效进一步分为三个可能的失效模式:
基体开裂也分为三个可能的失效模式:
如果失效指数 (FI) 等于或超过 1.0,则会发生失效(纤维失效或基体失效)。
本部分介绍 LaRC02 失效准则中见到的常用术语。
XT = 纵向拉伸失效下 σ11 的值
XC = 纵向压缩失效下 σ11 的值
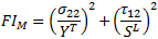
YT = 横向拉伸失效下 σ22 的值
YC = 横向压缩失效下 σ22 的值
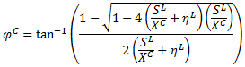
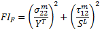
SL = 纵向剪切失效下 σ12 的绝对值
ST = 横向剪切失效下 σ23 的绝对值
α0 = 单轴横向压缩下破裂面的角度(设置为 53°)
α = 使失效索引达到最大值的破裂面的角度
G12 = 纵向剪切模量










如果纵向法向应力(σ11) 为正,则使用拉伸纤维失效模式确定是否发生纤维失效。 拉伸纤维失效准则为

其中,ε11 是当前纵向应变,
是纤维拉伸失效下的纵向应变。
计算自以下形式的复合材料的轴向拉伸强度

有两种纤维压缩失效准则。应力状态确定使用哪一个来评估纤维失效。在旋转坐标系中评估纤维压缩失效。如果横向法向应力 (
) 为正,则使用以下准则评估纤维失效。

如果横向法向应力 (
) 为负,则使用以下准则评估纤维失效。

如果横向法向应力 (σ22) 为正,将调用基体拉伸失效准则。 拉伸基体失效准则为

有两种基体压缩失效准则。应力状态确定使用哪一个来评估基体失效。如果纵向法向应力 (σ11) 大于或等于横向压缩强度 (YC),将使用以下准则评估基体失效

如果纵向法向应力 (σ11) 小于横向压缩强度 (YC),则材料会被视为处于适度双轴压缩状态,并使用以下准则评估基体失效

此准则使用旋转坐标系中的应力来评估该有效应力。